多产品定价法
多产品定价法(Multi product pricing)
什么叫多产品定价法
多产品定价法是指用某一产品的低价吸收消费者,用更多产品的稍高一点的价格收回损失并获得利润。
多产品定价法是解决企业产品之间,部门之间相互影响,从而给产品定价准确定价的有效途径。
厂商对于同一件信息商品通过不同角度进行分割或者组合,赋以不同价格,从而实现市场细分。这是一种从产品角度出发的定价策略。这种角度包括信息时滞、系统界面、使用权限、计算速度、服务协议、结构性能、广含性、功能数量等。
多产品定价法的方法
1、产品在需求上相互联系
一个公司生产多重需求上有联系的产品,包括替代品,互补品。企业追求总利润最大,而不是单种产品利润最大。
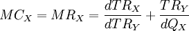
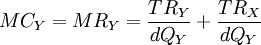
TR = TRX + TRY
为简化模型,假定企业只生产两种产品X和Y,它们在需求上相互联系。这种联系分为两种: X、Y为互补品。X、Y为替代品。此时,一种产品的销售量影响到另一种产品的销售量。怎么确定X、Y产品的价格呢?实际上,可以用以下的边际收入方程表示:
第一个式子中,表示因X销售量变化引起的边际收入分两部分:增加一个单位产品X销售量而引起的产品X收入的变化 和产品Y收入的变化。第二个式子表示因Y销售量的变化而 引入的边际收入。根据以上方法,即可求出X和Y的定价。
企业在决策产量时:如果X、Y为互补品,不考虑此联系会使产品的产量变小。如果X、Y为替代品,不考虑此联系会使产品产量变大。
2、产品在生产上是关联的产品
产品在生产上互相联系有的企业生产的多种产品,在生产之间互相联系。联产品就是这样的情况。用同样地原材料经过同一生产过程,生产出两种以上的主要产品,这些产品就 称为联产品。联产品又可分为按固定比例生产的联产品和按变动比例生产的联产品。下面分别介绍这两种联产品的价格和产量决策。
1)按固定比例生产的联产品这种联产品由于产品之间的产量比例不能调整,所以可以把它看成一组产品而不是多产品。在考虑成本是总是按产品组合来计算的,所谓的边际成本就是多生产一个产品所增加的成本。也就是说,按固定比例生产的关联产品共有一条边际成本曲线。
X、Y在生产上关联的,即它们是按固定比例生产的。比如在屠宰场,每头牛提供一张牛皮和一个牛头,那么牛皮和牛头在生产上就是关联的。在做产品定价决策时,可以把它们看作一个固定的产品组。如图所示,MRX 、MRY 分别为X、Y的边际收入曲线,销售一个产品组引起的边际收入MR等于此两种产品的边际 收入之和。 利润最大化产量Q0由MR和MC的交点决定,此时X、Y产品的价格分别为PX、PY,它们是由每种产品的需求曲线决定的。
例题:一家牧场出售牛头和牛皮,此两种产品为固定比例的关 联产品。牛头—牛皮产品组的边际成本方程为:MC=30+5Q。它们的产品需求和边际收入方程为:牛头:P=60-Q MR=60-2Q 牛皮:P=80-2Q MR=80-4Q 问:为使牧场利润最大化,此两种产品应如何定价?这个产品 组应生产多少? 解:两种产品的边际收入方程相加得:MRT=140-6Q 令MRT=MC得:Q=10 代入需求方程得:牛头价格为50牛皮价格为60。
但是,尽管产品是组合生产的,每种产品的需求是独立的。因此,每种产品的边际收益是不同的。总边际收益也就是产品组合中每种产品的边际之和。假定一个产品组合由两种产品(X和Y)组成,各自的边际收益分别为MRx和MRy,总的收益曲线是单个产品的收益曲线的垂直相加。最优产量组合就是总边际收益曲线边际成本的交点所对应的产量。
2)按变动比例生产的联产品假定某企业生产两种联产品A、B,在完全竞争市场上销售,价格是给定的。假定这两种产品之间的生产比例是可以调整的,其可能的产量组合及其成本数据为已知,求产品A和产品B的最优产量组合。
免责声明:本内容来源于第三方作者授权、网友推荐或互联网整理,旨在为广大用户提供学习与参考之用。所有文本和图片版权归原创网站或作者本人所有,其观点并不代表本站立场。如有任何版权侵犯或转载不当之情况,请您通过400-62-96871或关注我们的公众号与我们取得联系,我们将尽快进行相关处理与修改。感谢您的理解与支持!







请先 登录后发表评论 ~