蓝契斯特法则
蓝契斯特法则(Lanchester's Law)
什么是蓝契斯特法则
蓝契斯特法则的创始者是出生于英国的技术工程师F.W.Lanchester。他本来是个汽车工程师,由于天生具有强烈的好奇心,无法满足于狭隘的专门技术领域,因而,在他做为Benz汽车公司的顾问时,把兴趣的对象转移到飞机上,终于成为一个伟大的航空工程师。他对螺旋桨的研究,在历史上也享有成名。
但是,这些还是无法满足蓝契斯特的好奇心。在他研究螺旋桨的同时,又在酝酿着对其他事物的兴趣。他开始对实际空战的数字发生兴趣,对于几架飞机对几架飞机的战斗结果将如何,这个问题触动更进一步去收集各种地上战斗的资料,以探索兵力的比率和损害量之间是否具有某种法则的存在。这即是蓝契斯特法则的由来。
蓝契斯特法则分为第一法则(单兵战斗法则)和第二法则(集中战斗法则),而由这两个法则的观念,再导出弱者的战略(第一法则型的应用)和强者的战略(第二法则的应用)。
第二次世界大战以后,被逐步引伸到营销战略管理中。蓝氏法则不仅是有效的营销管理法则,在商品战略、市场规划、流通渠道等方面都有较大的实用价值。
蓝氏法则的主要要素
蓝氏法则主要包含以下要素:
1、营销力量的基本分配关系。根据经济界和管理界的研究分析,企业以最低成本获得最高利润的前提条件是战略力与战术力的比例至少为2:1.这决定了企业营销战略中营销力的基本分配关系。企业应以此比例为指导原则配置营销战略力与营销战术力,分配营销力量和营销资源,避免偏重战术而忽视战略和只注重短期利益而忽视长远利益的偏颇,创造最优成本——利润组合。营销战略力属于看不见的决策范围,包括品牌、企业形象、产品开发、价格、广告、营销渠道等;而营销战术力则指看得见的可直接沟通的销售力,诸如销售组织、推销方式、终端促销、销售人员素质等方面。
2、“三·一”理论与占有率的目标管理。竞争双方战斗力的关系在局部战中发展到了3:1,机率战中达到1.732:1,弱者反败为胜已不可能。该比值范围称为射程距离。当两竞争对手之间市场占有率之比超过射程距离时,弱方应及时放弃经营,保存实力,另辟蹊径。该模式还提供了市场占有率的目标管理指标,包括上限目标、下限目标和相对安全指标。上限目标为73.88%,此时不论对手的个数和实力,占有率平均在该公司的射程距离之外,所以该指标构成市场独占条件。26.12%是市场占有率的下限目标,即使此时公司的市场占有率名列榜首,也极不稳定,随时有受到进攻的可能,它是劣势的上限。当市场占有率达到41.7%时,企业进入相对安全圈,这是各企业参与竞争的首要目标。
3、第一位主义。在射程距离内,为提高市场占有率,企业必须尽力创造第一位置。这包括:第一位的商品,如新产品或差异化产品;第一位的零售定货率,这是流通战略中最关键的步骤;第一位地域,即将市场细分后,逐个击破,从各区域第一进而追求整体占有率的第一。根据蓝氏法则,强者与弱者战略实施的优先顺序不同。实力弱的公司宜开展局部战,方向为区域→进货率→商品,先限定区域创造据点,将易销商品集中,以地域进攻为先决条件。而实力较强的企业,其战略顺序正好相反,方向为商品→进货率→区域,即通过有力的商品作为战略武器,展开大规模总体进攻,击破弱者支配的地域,从而最终实现第一位地域。这种根据实力决定战略排序的方法,已被国外企业广泛运用。
4、三点攻战略。企业在发展某一区域市场时,首先按照自然的和人为的地理条件、人口集中度、人口移动规律等情况对区域进行细分,随后选择可连成三角形包围该区域的三个最有利点,个个攻破,使占有率达到40%的相对安全值。面积形成后,从三个方向向最终目标的正中央推进,使竞争对手瓦解在空中的环形区域中。此法又称点、线、面法则,它提供了区域战略的基本原理和实施步骤。
5.竞争目标与攻击目标。在争夺市场的竞争战中,强者多处于守势,而弱者趋向于进攻。防守与进攻的战略互不相同,因此首先应区分攻击目标和竞争目标。比自己实力强的是攻击目标,反之为竞争目标。对攻击目标应采用差异化战略进行攻击,通过品牌形象、技术工艺、产品性能、顾客服务的独特性来提高市场占有率;而对竞争目标则应用防守战略,密切注意对方行动意图,抢先实施模仿战术,扰乱对方计划。在这里,确立双方战略态势是采取恰当战略的首要步骤。
6、强者与弱者的差异。实力弱小的公司在战略上应以一对一为中心,创造单打独斗的战略区域和战略性产品,避免以所有产品和所有区域为目标。选定特定的阶层对象,展开局部战斗,以点的反败为胜,连线为面,取得最终胜利。
7、地位差异战略。在营销过程中,必须考虑企业在产业和市场中的位置。在许多攻击目标中,首先集中力量对付射程范围内的足下之敌,避免多方树敌。第一位企业应经常推出新产品,并及时了解第二位可能的差异化战略,从而在时间上抢先一步。所以,其情报能力、情报管理制度和开发创新能力,是维持企业地位的关键。第二位的企业必须以独创性开辟生存空间,通过差异化一决胜负。总之,各类企业应结合具体产品的地区、流通特性,灵活运用各种战略。
蓝契斯特法则的建模与公式推导[1]
遵循蓝氏基本思路,我们可以重新构造基本对抗模型如下:
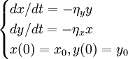
令x(t)表示t时刻红方兵力,y(t)表示t时刻蓝方兵力。假设:(1) 每一方兵力减损率与另一方兵力成正比;(2) 两军士兵都处于双方火力范围内;(3) 不考虑双方支援部队;(4) 双方的初始兵力分别是x0和y0。
由以上假设可得,双方作战人数变化的动态模型为:
(1)
其中:ηx > 0,ηy > 0,均为常数,分别表示红方x和蓝方y的有效攻击系数。
对于(1)式,可得:
移项得:ηxxdx = ηyydy
对上式两边分别进行积分,经整理可得:
这就是著名的蓝氏战略公式。该方程刻画了随着时间推移,双方兵力的动态关系。为了更直观的了解,可以利用相图分析技术,把x(t)和y(t)之间的动态变化关系轨迹,通过笛卡儿直角坐标(x-y)平面(勒内·笛卡尔,Rene Descartes),形象地刻画出来。显然,运动轨迹是一簇双曲线(具体位置依赖于双方初始兵力情况),如图1所示。双曲线上箭头表示战斗力(人数)随着时间而变化的方向。
从图中可以看出,根据初始条件之不同,可能会出现三种不同的结果(渐进稳定点)。
如果双方初始兵力配置满足条件:
,曲线最终将与x轴相交,也就是说必存在某时刻t1,使蓝方被全歼,y(t1) = 0,此时红方剩余兵力为
,表明红方获胜。
同理可知,如果c < 0,则蓝方获胜,剩余兵力为
。
如果c=0,双方势均力敌,如果一直火拼下去,双方均无生还之可能(穿过坐标原点)。
进一步分析可知,红方要想获胜,必须使初始条件c>0成立,即
。有两种基本途径:1)增加(相对)攻击有效系数ηx;2)增加最初投入兵力x0。
公式显示,这两种基本方式对攻击力及最终结果的影响力是不同的。ηx增加一倍,攻击力(
)也增加一倍;但x0增加一倍,则会使攻击力(
)以平方倍增加,即“兵力对攻击力的影响满足平方律”。这里初始兵力对最终胜败的重要性突显出来了。这正是“蓝氏平方法则”的真正含义,说明兵力增加战斗力将大大增加。
二战期间,以美国数学家库普曼(Koopman,1943)为首的美国海军研究组,在“蓝氏平方法则”基础上,扩展成更加完整的战略模型,并利用微分博弈方法和动态最优化方法,计算出各种相对稳定状态下的均衡条件。并从“有效攻击距离”角度,得出了著名的“3倍制胜法则”(准确值为 ,适用于“一对一”对决情形)。据此推导出了保证对局双方力量平衡所需要的初始条件。基本观点是:在双方对决中,一方要想绝对取胜,进攻方必须保证自己的兵力达到对方的3倍以上(“一对一”对决情形),这也说明防御策略在保存力量方面的优势。换言之,要保证取得压倒性胜利,进攻方所投入的兵力必须达到双方总投入兵力比重的73.9%以上;相对应的,如果所投兵力少于总兵力的26.1% (1-73.9%),则必败无疑。此外,只要一方所投入的兵力不少于双方总投入兵力比重的41.7%,就足以维持双方力量的相对平衡,即形成对峙局面。这与人们通常的50%:50% 的直觉观念有一定出入。
蓝契斯特法则的应用[1]
蓝氏战略思想虽然源于军事领域,但对随后的企业战略尤其是营销战略思想产生了深刻地影响。自1962年始,日本营销学者田冈信夫首先将该理论发展成为一整套营销战略体系。此后经矢野新一等学者进一步发展完善。该营销战略新理念以其科学性、简明性和实战性,在日本等地颇受好评,并对战后日本企业经营战略理念产生了巨大的影响。营销战略中的蓝氏法则主要观点可归纳为:
(一)市场占有率导向的营销战略核心思想。把蓝氏模型中的数量因素类比为市场份额,认为市场占有率是企业在市场竞争中实力和战斗力的集中体现,具有战略价值。因此,营销战略应始终围绕提高市场占有率这一目标展开。对于市场份额的争夺主要注重“有效攻击距离”思想,即在一对一竞争中,只要双方市场份额的差距在1.7倍以内,就容易遭临近对手的有力挑战,因此,需要极力拉开双方的差距,以保证自身的安全。根据这些思想,提出了不同于传统经济学的对市场结构的新划分标准,作为实施依据。具体如下:
回顾日本在20世纪70、80年代在全球市场上所取得的巨大成功,除了坚持质量战略外,市场占有率战略几乎成为了通用的发展模式。不管是“N2法则”还是“3倍法则”抑或是“
倍法则”,其中所蕴涵的“规模优势”和“集中优势”的战略思想是显明的。以市场占有率为例,扩大市场占有率战略至少存在直接和间接两方面效应:直接效应是扩大了自己的地盘,压缩了对手的份额;间接效应是由于规模优势和学习/经验曲线规律,造成成本的快速下降,这又为进一步的市场扩张创造了条件。两效应相互促进,最后的效果呈乘数效应。
(二)营销战略原则。根据对市场占有率的战略理念,并针对企业在市场中的强弱地位的差异,得出四条主要的战略原则及相应的对策建议:
1、领先原则。即力争第一原则,日本人形象地称其为“N0.1主义”。这是整个蓝氏战略思想的集中体现。力量和资源的平均化使用在企业经营中是兵家大忌,那只会导致平庸。在激烈的市场竞争中,惟有在某方面建立与众不同的特色和优势,始能保证成功。即使对于在整体实力上处于劣势的弱者,也应该“扬长避短”,力争在局部环节和领域建立相对优势。对于整体实力强大的企业来说,要保持所有方面的绝对优势也是不现实的,应该在保持整体实力领先的基础上,谨防出现重大漏洞,以防被对手抓住机会迅速赶超。至于如何建立领先地位,需要采用包括差异化策略、集中重点策略、攻其弱点策略等来加以实现。
2、差异化原则。这是市场竞争策略中最核心的战略原则之一,也是处于相对弱势的企业制胜的法宝。正面硬碰硬的竞争只能导致两败俱伤。最有效的竞争战略就是设法避开正面冲突。所谓“不争之争,方为至争”。实现差异化的主要途径有:
- 产品和品牌差别化。在产品的技术含量、品质特征、包装形象等方面建立特色;
- 服务差别化。产品的有形方面的差异化有时是难以长久建立和保持的。在未来的竞争中,服务的差别化将起到越来越关键的作用。因为作为软性和无形的服务是难以被人家模仿的;
- 广告宣传差别化。好的营销宣传实际上等于给消费者提供一道美味的信息产品和情感产品。一旦给产品附加上情感因素,你就不是仅仅在卖一件东西了;
- 渠道差别化。俗话说:“市场竞争,渠道为王”。控制了终端网络,保证了你的血脉通畅无阻。
针对弱者的差别化战略,强者的应对措施主要采用追随策略,即以针锋相对的策略,推出类似的特色,以反差异化策略把对方的差异化努力消除在无形之中。要成功地做到这一点,拥有强大的市场情报系统是关键。能够及时迅速地获取市场信息,包括竞争对手及顾客需求的变化动态,才能进行快速反应。日本企业的市场竞争意识非常强,其中的表现之一就是,日本的市场情报收集能力据世界第一。
3、集中重点攻击原则。集中原则与差异化原则实际上都是强调策略的“不对称”性,是同一事物的两个方面。强调“人无我有,人有我优”。具体而言,就是缩小竞争范围,采取小范围、近距离作战。只有这样才能集中力量,各个击破,积小胜为大胜,乃至最后取得全面胜利。太阳光在透镜的聚焦下也能产生惊人的温度,这就是聚焦的力量。
实际上,看似简单的“集中原理”是一切竞争性领域中获胜的秘密。看看最伟大的军事思想家们的看法就明白此言非虚。19世纪最伟大的军事战略理论家克劳塞维茨(Clausewitz,中译1996,上卷P176)认为,最佳战略第一是在整条战线,否则在胜败关键的地点,保持强大的兵力。再没有比战斗力的集中更卓越、更简单的战略法则了。同样的,20世纪最对伟大的军事战略家李德•哈特(Liddell Hart,中译2002,下卷P978)进一步认为,如果把战争的原则凝缩为一个词,那就是“集中”。然而,如进一步补充,则要“针对对手的弱点集中强大的战力。蓝氏战略公式的巨大威力正在于用科学量化的语言得出了同样一个浅显但又至关重要的道理。
对于营销领域而言,应该集中重点突破的领域有:
1)区域市场。市场是一个抽象的概念,实际上是由一个个地理意义上的区域市场所构成的。每个区域市场之间由于地理、交通、历史文化、习俗、行政管制等因素而变得差异极大。这一点对中国有特别重要的现实意义。在中国,传统意义上的全国性统一市场并未形成,有的只是“诸侯经济”和“城乡二元化市场”。例如,娃哈哈公司的非常可乐就是走“农村包围城市”的道路,短短几年时间就占据了国内广大农村市场,甚至部分省市。
2)顾客/需求层次。即按照顾客的职业、年龄、文化、购买力等特征,进行市场细分和目标市场定位。锁定核心顾客群体,进行有针对性的营销推广。这是营销中最经典最常用的做法。此外,还可以在技术研发、产品设计、形象包装、广告宣传、供需链合作等环节,选择集中突破点。
针对弱者所采取的重点集中策略,对于处于市场领导地位的强者,在保持自身优势的同时,主要应该注重其整体综合优势,发挥协同效应,以提高运营效率为根本。
4、弱点攻击原则。即首先避开强大的竞争对手,优先攻击处于弱势的对手,或选择强者的弱点进行攻击。这就是我国兵法中“背孤击虚”这一总战略思想的体现。实际上,攻其弱点原则强调的是竞争目标对手的选择及竞争次序问题。而差异化原则强调的是竞争方式方法问题。重点集中原则强调的是竞争的组织方式问题。三大原则,表述各有侧重,但体现了同一战略思想,实为“三位一体”的战略思想构架。其目的就是要建立竞争优势。
最后需说明的是,蓝氏战略虽然以其理论逻辑的严密性和结论的直观性,具有非常实用的指导意义。但是,我们应该认识到,该理论直接来源于战争领域。虽然说“商场如战场”,但毕竟两者之间存在本质的不同,其中的利益也不是“你死我活”的纯粹零和游戏。相反,越是在激烈竞争中,谁能够创造性的利用“合作与联盟”的力量,谁就能够在未来的市场竞赛中占尽先机。理论应用的最大危险在于脱离实际的机械照搬和对理论前提的忽视。如果对蓝氏战略公式的前提假设进行修改,结论就会大不相同。显然,为了使蓝氏战略更符合商战逻辑,还需要我们做进一步的深入研究。
蓝氏法则的成功实例
许多跨国公司在营销中特别是在区域战略中成功地运用了蓝氏法则
1.德国大众汽车公司的“点、线、面市场进入法”。
这一策略是德国大众汽车公司有名的市场开拓方法,也是目前许多海外跨国公司在开拓中国市场时的惯用手法,它融合了蓝氏法则的3、4、5、6、7条。
其内容是:企业在选定目标市场并确定其为最后攻占的目标区域后,首先,实行点的占据。企业不可能一开始就进入到目标区域的中心,只能在这一区域的附近选择有利的阵地点,并在这个点上展开强有力的营销活动。
其次,在第一点的营销活动取得相当成功后,再在目标区域附近另选第二点。第二个点完成后,便可形成营销网络的线。
再次,在线形成后,再选第三点,此点应能与第一、第二点形成对目标区域的包围圈,这样营销面积便告形成。在面积形成后,企业向目标区域的重要点——中心点推进,从而实现目标区域的全面进入。
这一策略方法体现的是稳扎稳打、循序渐进、不断建立外围据点、最后中心开花的战略思想。许多国际著名企业都曾成功地运用过这一策略方法。日本企业采用这一策略在进入美国市场时几乎是无坚不摧。德国大众公司在中国上海成功建立合资企业后,随即与一汽集团合资生产小汽车,并且占有中国将近一半的小汽车市场,可以说是这一策略在中国市场的成功实践。
2.可口可乐——营销战略力和战术力协调运作的成功典型。
可口可乐之所以能成为“世界第一名饮”,突出形象、广告战略力,以强大的战略力拉动市场,并配之以营销战术力推动市场是其杀手锏。在营销战略力上,他们不仅把可口可乐作为一种饮料,而且作为一种美国文化、美国精神,发动了一场又一场的最富有想象力、最有普及性和最成功的企业形象、品牌形象宣传活动,广告投入每年均达数亿美元;他们持续赞助奥运会,收购哥伦比亚电影公司,占领机场、游乐场所、车站等形象宣传要地,在中国资助建立50所希望小学,投资数百万美元资助贫困地区大学生等,充分抓住和利用每个相关事件树立形象。在营销战术力上,全面铺货,产品无处不在,无处不有,每年行销费用达数十亿美元。
3.日本三洋的“一点集中进入法”。
日本三洋在进入中国市场时,与许多海外企业进入中国市场多选择在沿海发达城市投资不同,选择销售潜力大、且在华东腹地具有一定政治经济影响力的内地合肥这个点集中投入建立合资企业,一方面,获得了当地政府在政策上的大力支持和协助,一方面,顺利进入中国市场。在不长的时期内,企业销售额、市场占有率和市场地位迅速提升,对周边其他中小城市形成了很强的示范效应,经营获得了成功。他们的做法实际上是综合了蓝氏法则的5、6、7条。
应用蓝氏法则的注意方面
根据蓝氏法则的内涵,应用蓝氏法则有几个方面值得注意。
1.确立战略营销观念
随着社会的发展和企业技术与产品的日趋同质化,企业形象是越来越重要的战略力。把企业的一切生产经营活动都纳入到塑造、传播和维护良好企业形象这一主要目标中,并通过良好企业形象的塑造、传播和维持过程,引导目标公众的行为,最终实现企业和社会长期利益的最大化的经营观念或经营指导思想,便是战略营销观念。战略营销观念的本质特征是“形象导向”,其直接的营销作用是形成市场拉力。战略营销带有全局性、战略性和综合性,是企业管理特别是营销管理的一大趋势。企业必须从“市场营销观念”走向“战略营销观念”,把在目标公众中塑造、传播和维护其良好的企业形象,作为贯彻各项宣传促销活动的一条主线。这是运用蓝氏法则的一个重要内容。
2.实施区域市场战略
蓝氏法则的一个主要亮点是实施区域营销战略。企业要根据自身规模、能力和总体战略布局,有效地采用“创造区域局部优势”的市场竞争策略,建立稳定的市场根据地和强有力的市场依托,在某几个区域市场内提高市场占有率,赢得较大市场份额。许多啤酒企业都采用了这一战略。实施区域市场战略的一般做法是:
细分区域市场,准确选择和确定目标市场。所选区域目标市场一般应具备市场容量和潜力较大、区位优势比较明显、竞争态势比较明朗、营销资源对等等条件。区域目标市场可分为准入市场、首选市场、重点市场、中心市场等。目标市场确定后,企业需明确市场定位,形成明晰的区域市场推广战略方针,实施灵活多样的营销策略。
借鉴蓝氏法则策动区域市场。一是集中优势,各个击破,不做“夹生饭”;二是固守本士,精耕细作,首先把本地市场做强、做出特色,形成巩固的根据地,在综合实力增强后再寻机扩展。
合理部署与配置区域市场,宏观(整体)上可采用:
“化整为零”法:将某一区域市场分成若干块相互关联的“战区”、每个“战区”再分成若干个相互呼应的“战点”,每个“战点”又可连成若干条紧密相连的“战线”,梳理市场脉络,突出重点,抓住关键、带动全局。
“点面呼应”法:各战区的布点尽量以某一中心城市为中心,以物流一日内可达客户的距离为半径进行点面整合,使之形成辐射状、同心圆型、扇形或三角形等市场格局。
“以线穿珠”法:以战区内或之间的交通干线为主线,将交通枢纽城市贯穿成线,形成纵横交织的网络格局。
微观(行动)上可以采用:
“围棋市子”法:具体到某一城市战区的铺市时,企业采用“直销或直销+经销”的营销方式,实行“分区包围、分片包干”和“分块蚕食,逐个击破”的策略,首选某一片区为突破口,逐渐展开营销作业面,直至占领整座城市。
“井字型或弓字型市点法”:在具体的营销作业面内铺市时,可选择某一商圈先横向布点,再纵向布点或按“弓”字型折向布点,激发零售商攀比心理,促其进货,从而使产品迅速铺市。
3.注重采用“一点集中进入法”
该法实际上是一种集中性市场营销策略,指在有多个目标市场的情况下,先选择其中一个,将所有销售能力集中,在短期内提高企业在这一市场的占有率和市场地位。一点集中法的关键在于如何选点,主要从销售潜力、政治经济影响力两方面着眼选点。
4.处理好营销中的一些重大关系
战略竞争与战术竞争协调实施,突出战略竞争。营销已进入高层次的战略竞争阶段,任何营销战术的运用必须以营销战略为基础。战略竞争当前是许多企业的薄弱环节,需要尽快加强。
重点战略战术与战略战术整体组合相结合。目前企业营销普遍存在着重单一战术运用、轻整体营销组合的现象,最典型的是“整合营销传播崇拜”,降低了营销效果。整合营销传播不是整合营销,而仅仅是营销中的“促销”因素的整合,没有优良的产品和便利的通路是不可能取得好效果的。所以必须根据企业实际,将重点战术与战术整体组合有效结合起来,才能取得好的成效。
参考文献
免责声明:本内容来源于第三方作者授权、网友推荐或互联网整理,旨在为广大用户提供学习与参考之用。所有文本和图片版权归原创网站或作者本人所有,其观点并不代表本站立场。如有任何版权侵犯或转载不当之情况,请您通过400-62-96871或关注我们的公众号与我们取得联系,我们将尽快进行相关处理与修改。感谢您的理解与支持!







请先 登录后发表评论 ~