灰色预测法
什么是灰色预测法?
灰色预测法是一种对含有不确定因素的系统进行预测的方法。灰色系统是介于白色系统和黑色系统之间的一种系统。
白色系统是指一个系统的内部特征是完全已知的,即系统的信息是完全充分的。而黑色系统是指一个系统的内部信息对外界来说是一无所知的,只能通过它与外界的联系来加以观测研究。灰色系统内的一部分信息是已知的,另一部分信息时未知的,系统内各因素间具有不确定的关系。
灰色预测通过鉴别系统因素之间发展趋势的相异程度,即进行关联分析,并对原始数据进行生成处理来寻找系统变动的规律,生成有较强规律性的数据序列,然后建立相应的微分方程模型,从而预测事物未来发展趋势的状况。其用等时距观测到的反应预测对象特征的一系列数量值构造灰色预测模型,预测未来某一时刻的特征量,或达到某一特征量的时间。
灰色预测的类型
①灰色时间序列预测;即用观察到的反映预测对象特征的时间序列来构造灰色预测模型,预测未来某一时刻的特征量,或达到某一特征量的时间。
②畸变预测;即通过灰色模型预测异常值出现的时刻,预测异常值什么时候出现在特定时区内。
③ 系统预测;通过对系统行为特征指标建立一组相互关联的灰色预测模型,预测系统中众多变量间的相互协调关系的变化。
④拓扑预测;将原始数据作曲线,在曲线上按定值寻找该定值发生的所有时点,并以该定值为框架构成时点数列,然后建立模型预测该定值所发生的时点
为了弱化原始时间序列的随机性
在建立灰色预测模型之前,需先对原始时间序列进行数据处理,经过数据处理后的时间序列即称为生成列。灰色系统常用的数据处理方式有累加和累减两种。
关联度
1、关联系数
GM(1,1)模型的建立
1、设时间序列
有n个观察值,
,通过累加生成新序列
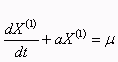
, 则GM(1,1)模型相应的微分方程为:
其中:α称为发展灰数;μ称为内生控制灰数。
2、设
为待估参数向量,
,可利用最小二乘法求解。解得:
求解微分方程,即可得预测模型:
,
3、模型检验
灰色预测检验一般有残差检验、关联度检验和后验差检验。
GM(n,h)模型
1、残差模型:若用原始经济时间序列
建立的GM(1,1)模型检验不合格或精度不理想时,要对建立的GM(1,1)模型进行残差修正或提高模型的预测精度。修正的方法是建立GM(1,1)的残差模型。
2、GM(n,h)模型
GM(n,h)模型是微分方程模型,可用于对描述对象作长期、连续、动态的反映。从原则上讲,某一灰色系统无论内部机制如何,只要能将该系统原始表征量表示为时间序列
,并有
, (N表数自然数集),即可用GM模型对系统进行描述。
灰色预测法案例分析
案例一:灰色预测法在百亚集团连锁企业的应用[1]
商业连锁企业随着门店的不断增加,总部对企业的管理将变得越发困难,尤其是对销售量的预测,这严重影响了决策层对企业的控制和管理,影响总部的决策水平,包括资金的调度和使用、大批量进货以降低成本、门店的发展速度等等。随着模糊数学的不断发展,灰色预测方法得到了广泛应用,它对于商业连锁企业的销售管理,有指导价值。
一、灰色预测原理
灰色预测是灰色系统理论的重要组成部分,它利用连续的灰色微分模型,对系统的发展变化进行全面的观察分析,并做出长期预测。
灰色系统是部分信息已知、部分未知的系统。同时,灰色系统理论将随机过程看作是在一定范围内变化的与时间有关的灰色过程,将随机变量看成是在一定范围内变化的灰色量,显然,商品零售业就是一个灰色过程,商品销售系统就是一个灰色系统,销售量就是一个灰色量。
灰色系统理论认为,灰色系统的行为现象尽管是朦胧的,数据是杂乱的,但毕竟是有序的是有整体功能的,因而对变化过程可作科学预测。在灰色理论中,用来发掘这些规律的适当方式是数据生成,将杂乱的原始数据整理成规律性较强的生成数列,再通过一系列运算,就可以建立灰色理论中一阶单变量微分方程的模型即CM(1,1)模型。
下面根据百亚集团1995年至2000年门店分类商品销售额数据建立GM(1,1)模型,并预测百亚集团在今后几年里的门店分类销售额。
百亚集团门店历年商品分类平均销售状况表(单位10万元)。
二、模型的实际应用
据上表的原始数据列:
=(223.3,227.3,230.5,238.1,242.9,251.1)
作一次累加生成,得生成数列:
X(1) = (223.3,450.6,681.1,919.2,1162.1,1413.2)
建立数据矩阵B及
即a=-0.025 u=217.6 u/a=-8705.0
故
(1)
在该模型中,依次取K=1,2,3,4,5,6可以得到各生成数据的模型计算值
(1)及还原为原始数据的模型计算值X(0)。
生成数对照表
还原数对照表
从上面的经验可以看出a=-0.025,且接近于0,说明本系统采用灰色预测的方法是适合的,数据检验表明最大误差为0.82%,拟合精度较高。
令K=9,则X(0)(2003)=2693万元
K=14,则X(0)(2008)=3051万元
可以预测到2008年,百亚连锁店的门店食品类商品销量将达到3051万元左右,用同样的方法,可以求得百亚集团连锁店各类商品销售量的预测模型。
(2)
(3)
(4)
(5)
(6)
在上面的6个预测模型中所有的a<0,且接近于0,说明本系统采用灰色预测方法是适合的,拟合度应当较高。
代入上述预测模型,就可以预测到2003年以及2008年百亚连锁集团门店商品分类销售状况,这对于提高总部的商品批量进货决策、门店发展决策、资金的调度和使用以及规范化管理具有重要意义。
灰色预测法预测门店分类商品销售额(单位:10万元)
参考文献
- ↑ 李春刚.灰色预测法在商业连锁企业的应用[J].经济师,2001,(12)
免责声明:本内容来源于第三方作者授权、网友推荐或互联网整理,旨在为广大用户提供学习与参考之用。所有文本和图片版权归原创网站或作者本人所有,其观点并不代表本站立场。如有任何版权侵犯或转载不当之情况,请您通过400-62-96871或关注我们的公众号与我们取得联系,我们将尽快进行相关处理与修改。感谢您的理解与支持!







请先 登录后发表评论 ~