联合概率法
联合概率法(Joint Density)
什么是联合概率法
联合概率法是指在事先估计概率的基础上,通过计算相关因素各种组合条件下的有关指标及其联合概率进行预测或决策的一种概率分析方法。
联合概率法的实例[1]
某企业经营A产品,通过对该产品销售价格、单位变动成本和固定成本总额的综合考察,确认有关因素可能达到的水平及其概率估计如下表所示:
由于售价、单位变动成本和固定成本各有两种情况出现,所以各种情况的随机组合就有8种(2×2×2)。联合概率分析法就是分别计算每种组合的保本量(额),再以联合概率为权数计算其加权平均保本量(额),即期望保本量(额)的一种分析方法。
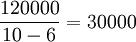
通过上面的图表表明,第一种组合是售价为10元,单位变动成本为6元,固定成本为120 000元时,保本销售量是:
(件),这3个因素同时出现的可能性(称之为联合概率)是由这3个因素的个别概率决定的,根据概率论的原理,联合概率等于个别概率之积。所以第一种组合的联合概率0.294是由0.7×0.6×0.7计算而得的,由此得到第一种组合情况下的保本量为30 000×0.294=8 820(件)。
这是其中的一种可能,用同样的方法对其他各种组合依次进行计算,然后进行汇总,最终可以得到预期的保本点销售量为33 174(件)。
参考文献
- ↑ 单昭祥.《现代管理会计》[M].北方交通大学出版社,2004-09-01
免责声明:本内容来源于第三方作者授权、网友推荐或互联网整理,旨在为广大用户提供学习与参考之用。所有文本和图片版权归原创网站或作者本人所有,其观点并不代表本站立场。如有任何版权侵犯或转载不当之情况,请您通过400-62-96871或关注我们的公众号与我们取得联系,我们将尽快进行相关处理与修改。感谢您的理解与支持!







请先 登录后发表评论 ~