马尔可夫时序预测法
马尔可夫时序预测法(Markov Forecasting Model)
马尔可夫预测法概念
马尔可夫(Markov)是俄国著名的数学家。马尔可夫预测法是以马尔可夫的名字命名的一种特殊的市场预测方法。马尔可夫预测法主要用于市场占有率的预测和销售期望利润的预测。就是一种预测事件发生的概率的方法。它是基于马尔可夫链,根据事件的目前状况预测其将来各个时刻(或时期)变动状况的一种预测方法。马尔可夫预测法是对地理、天气、市场、进行预测的基本方法,它是地理预测中常用的重要方法之一。
马尔可夫分析的基础原理[1]
马尔可夫进行深入研究后指出!对于一个系统,由一个状态转至另一个状态的转换过程中,存在着转移概率,并且这种转移概率可以依据其紧接的前一种状态推算出来,与该系统的原始状态和此次转移前的过程无关。一系列的马尔可夫过程的整体称为马尔可夫链-马尔可夫过程的基本概念是研究系统的“状态”及状态的‘转移“,从一个状态转换到另一个状态的可能性,我们称之为状态转移概率-所有状态转移概率的排列即是转移概率矩阵
1.状态转移概率具有两个特性:
(1)P_ij\ge0(P_ij指从第i转向第j的概率);
\sum_{j=1}P_ij=1
2.马尔可夫分析的基本假定
在进行马尔可夫分析时,我们假定:
(1)预测期系统状态数保持不变
(2)系统状态转移概率矩阵不随时间变化
(3)状态转移仅受前一状态影响,即马尔可夫过程的无后效性
3.马尔可夫过程用于预测基本步骤
首先确定系统状态,然后确定状态之间转移概率,再进行预测,并对预测结果进行分析-若结果合理,则可提交预测报告,否则需检查系统状态及状态转移概率是否正确。
什么是马尔可夫过程
事物的发展状态总是随着时间的推移而不断变化的。在一般情况下,人们要了解事物未来的发展状态,不但要看到事物现在的状态,还要看到事物过去的状态。马尔可夫认为,还存在另外一种情况, 人们要了解事物未来的发展状态,只须知道事物现在的状态,而与事物以前的状态毫无关系。例如,A产品明年是畅销还是滞销, 只与今年的销售情况有关,而与往年的销售情况没有直接的关系。后者的这种情况就称为马尔可夫过程,前者的情况就属于非马尔可夫过程。
马尔可夫过程的重要特征是无后效性。事物第n次出现的状态,只与其第n-1次的状态有关,它与以前的状态无关。举一个通俗例子说:池塘里有三片荷叶和一只青蛙,假设青蛙只在荷叶上跳来跳去。若现在青蛙在荷叶A上,那么下一时刻青蛙要么在原荷叶A上跳动,要么跳到荷叶B上,或荷叶C上。青蛙究竟处在何种状态上,只与当前状态有关,而与以前位于哪一片荷叶上并无关系。这种性质,就是无后效性。
所谓“无后效性”,是指过去对未来无后效,而不是指现在对未来无后效。马尔可夫链是与马尔可夫过程紧密相关的一个概念。马尔可夫链指出事物系统的状态由过去转变到现在,再由现在转变到将来,一环接一环像一根链条,而作为马尔可夫链的动态系统将来是什么状态,取什么值, 只与现在的状态、取值有关,而与它以前的状态、取值无关。因此,运用马尔可夫链只需要最近或现在的动态资料便可预测将来。马尔可夫预测法就是应用马尔可夫链来预测市场未来变化状态。
转移概率和转移概率矩阵
- (一)转移概率
运用马尔可夫预测法,离不开转移概率和转移概率的矩阵。事物状态的转变也就是事物状态的转移。 事物状态的转移是随机的。例如,本月份企业产品是畅销的,下个月产品是继续畅销,或是滞销,是企业无法确定的,是随机的。由于事物状态转移是随机的,因此,必须用概率来描述事物状态转移的可能性大小。这就是转移概率。转移概率用“ ”表示。下面举一例子说明什么是转移概率。
- (二)转移概率矩阵
所谓矩阵,是指许多个数组成的一个数表。每个数称为矩阵的元素。矩阵的表示方法是用括号将矩阵中的元素括起来,以表示它是一个整体。如A就是一个矩阵。
这是一个由m行n列的数构成的矩阵, 表示位于矩阵中第i行与第j列交叉点上的元素, 矩阵中的行数与列数可以相等,也可以不等。当它们相等时,矩阵就是一个方阵。
由转移概率组成的矩阵就是转移概率矩阵。也就是说构成转移概率矩阵的元素是一个个的转移概率。
(9-11)
转移概率矩阵有以下特征:
①,0≤Pij≤1
②
,即矩阵中每一行转移概率之和等于1。
马尔可夫预测法案例分析
案例一:马尔可夫预测法进行某企业经营状况预测[2]
用马尔可夫预测法预测企业经营状况的关键步骤有两步:
(1)由企业过去的经营状况确定一步转移概率矩阵;
(2)求出n步转移概率矩阵,完成n个时段后企业经营状况的预测。
其中步骤(1)又可分为两步,首先要确定各时段的企业经营状况,其次是根据其状态转移规律确定一步转移概率矩阵中各元素的值。
假设某企业的经营状况分为盈利、持平、亏本3种状态,分别记为E1、E2、E3。该企业在过去40个月即2004年1月至2007年4月的经营状况变化情况如表所示。
从表中可见,在15个从El出发的状态中,有3个转移到了El,7个转移到了E2,5个转移到了E3。相应得出从E2和E3出发的状态的转移情况。总的状态转移情况如表所示。
其中行方向上的“盈利、持平、亏本”表示出发的状态,列方向上的“盈利、持平、亏本”表示一步转移到的状态。“合计”列表示从“盈利”、“持平”、“亏本”状出发的总的次数。接下来以频率近似代替概率,便可得到其一步转移概率矩阵,如下表所示。其中概率值可用Excel的公式计算完成。其数学公式如:从盈利到盈利的一步转移概率
;从持平到亏本的一步转移概率
,其余可相应得出。
案例二:马尔可夫预测法的应用
一、对市场占有率的预测
在市场经济的条件下,各企业都十分注意扩大自己的市场占有率。因此,预测企业产品的市场占有率,就成为企业十分关心的问题。
若假设:
①市场的发展变化只与当前市场条件有关;
②没有新的竞争者加入,也没有老的竞争者退出;
③顾客总量保持不变;
④顾客在不同品牌之间流动的概率保持不变,就可用马尔可夫预测法对市场占有率进行预测。
当然,假设与市场实际存在差距,只要预测对象基本符合假设条件,就可以运用此法得出相对科学的预测结论。
根据马尔可夫链的基本原理,一般情况下,本期市场占有率仅取决于上期市场占有率和转移概率。因此要预测K月后的市场占有率,其矩阵为ABk 。
二、对市场占有率的预测马尔可夫预测法的一般步骤[3]
1.调查目前本企业产品市场占有率状况,得到市场占有率向量A
由于市场上生产与本氽业产品相同的同类企业有许多家,但我们最关心的是本企业产品的市场占有率。故一般情况下,可以运用问卷形式进行抽样凋查,得出与本企业有关的同类产品目前在市场上占有率向量A=P1、P2、P3……Pn),1、2、3、……n代表又n家同类企业,且
或100%。
2.调查消费者的变动情况,计算转移概率矩阵B
对于众多的消费者而言,购不购买本企业的产品纯粹是偶然事件,但是若本企业生产的产品在质量、价格、营销策略相对较为稳定的情况下,众多消费者的偶然的购买变动,就会演变成必然的目前该类产品相对稳定的市场变动情况。
因为原来购买本企业产品的消费者在将来可能仍然购买奉企业的产品,也可能转移到购买别的企业的同类产品,而原来购买其他企业产品的消费者,在将来可能会转移到购买本企产品,两者互相抵消,就能形成相对稳定的转移概率,只要通过市场调查,就能得到购买本企业和其他企业产品的转移概率矩阵。
矩阵B称为转移概率矩阵,且要求矩阵的各行元素之和为1,即购买某种产品的消费者中,将来购买本企业产品和购买非本企业产品的消费者人数的比重之和等于1或100%。
3.用向量A和转移概率矩阵B预测下一期本企业产品市场占有率。
若已知某产品目前市场占有率向量A,又根据凋查结果得到未来转移概率矩阵B,则未来某产品各企业的市场占有率可以用A乘以B求得。
即A×B=
三、产品长期市场占有率预测的实证分析[4]
现以某市某品牌彩电市场占有率预测为例说明马尔可夫预测法在实际市场占有率顶测中的应用。
就全球而言,生产彩电的企业成下上万,但我们最为关心的足本企业品牌彩电的市场占有率情况,为了在市场竞争中做到知己知彼,我们当然需要掌握其他彩电的市场占有情况.但成千上万种彩电的市场占有情况我们不可能电不必要统统调查,只要调杏在彩电牛产企业中市场占有率最大,竞争嫩里最强,对本公司产品构成威胁的龙头企业产品占有率情况,而把大量的其他彩电生产企业产品对如其他类,这样,就能把成千上万中彩电归纳为三大企业:即本企业、龙头企业、其他企业。根据马可夫预测法的预测步骤,
第一步,要调查目前市场的占有率情况,得到市场占有率向量A,若通过对本市一万户彩电用户的随机调查,得出目前市场占有率向量A=(0.2、0.5、0.3)即目前,在一万户用户中,购买本企业彩电户数占20%,购买龙头企业品牌彩电用户数占50%,还有30%是购买其他品牌彩电。
第二步,调查消费购买变动情况,得出整个市场彩电下一期的转移概率矩阵B,若经过调查,这一万户消费者,下一期若购买彩电,在现在购买本企业彩电的消费者中,下一期仍然有50%购买本企业彩电,40%将购买龙头企业的彩电,10%将购买其他牌号的彩电;现在购买龙头企业彩电的消费者,下一期将有20%转移购买我公司的生产的彩电;50%仍然购买龙头企业彩电,而30%将购买其他牌号的彩电;现在购买其他品牌彩电,而有40%将转移购买龙头企业产品30%将购买本企业的彩电。据此可得出下期整个市场彩电购买情况变动的转移概率矩阵。
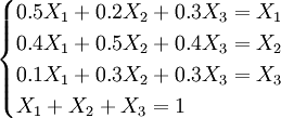
第三步,用向量S乘以矩阵B即可得出下期本企业、龙头企业及其他企业市场占有率分别为29%、45%和26%,第四步,若这种变化成为相对稳定状况,也即转移概率矩阵将对市场占有率不起变动作用,我们就可以计舒:出竞争相对稳定以后的王种牌号彩电的市场占有率。设x = (x1x2X3)是稳定以后的市场占有率,则x不随时间的推移而变化,也即市场占有率处于动态平衡,即有xB=x,详细写出来即为
即(x1x2X3)
可以联立方程组:
解方程组得x1 = 32.92,x2 = 36.36,x3 = 30.69,本企业产品在市场较为稳定情况下的市场占有率为32.92%,龙头企业为36.36%,其他企业为30.69%。
四、对使用马尔可夫预测法的总结[4]
马尔可夫预测法是一种既实用叉较为方便的市场占有率预测方法+运用马尔可夫预测法关键是要调查得到企业目前市场占有率情况,以及下期市场占有牢的改变方向,而要得到这些资料,必须进行抽样渊查,在抽样调查时,需要注意样本的代表件,牢牢遵循抽样调查的随机原则,否则就得水到准确的预测结果。
参考文献
免责声明:本内容来源于第三方作者授权、网友推荐或互联网整理,旨在为广大用户提供学习与参考之用。所有文本和图片版权归原创网站或作者本人所有,其观点并不代表本站立场。如有任何版权侵犯或转载不当之情况,请您通过400-62-96871或关注我们的公众号与我们取得联系,我们将尽快进行相关处理与修改。感谢您的理解与支持!







请先 登录后发表评论 ~