交易性货币需求
交易性货币需求(transaction demand for money)
交易性货币需求概述
社会公众出于交易的目的形成的货币需求。在经济社会中,社会公众的收入和支出行为往往不是同时发生的。个人或家庭的货币收入一般是定期取得,企业收入也是按生产或流转周期取得,但支出则是经常进行的,包括个人购买商品、劳务和企业支付生产(流转)费用。为应付这类经常性支付的要求,个人、家庭、企业都需要在收入与支出的间隔时间内持有一定的货币量,这部分货币需求即称为交易性货币需求。
交易性货币需求的作用
交易性货币需求主要是收入的函数,取决于收入水平并随收入的增减而增减。假定某人按月取得收入且月薪为180元,并在一个月内平均地支出全部数额,那么他所保留的货币额,按四周平均计算分别为157.5元[(180+135)/2]、112.5元[(135+90)/2]、67.5元[(90+45)/2]、22.5元[(45+0)/2],由此算得他的月平均货币余额即交易性货币需求为90元,也就是他月收入的一半。当月薪增加一倍即由180元增至360元时,他的月平均货币余额也将由90元增为180元,反之亦然。交易性货币需求同收入次数即收入的流通速度呈反函数关系。按前例,假定该人月收入总额不变但改月薪制为周薪制,每周支薪45元,仍以平均支出计算,他的月平均货币余额为22.5元,为月薪制时的1/4。将以上两种因素统一起来,交易性货币需求、收入和收入的流通速度存在着一定的函数关系,用公式表示为L=/V,式中,L代表交易性货币需求,Y代表货币收入水平,代表货币收入的流通速度此外,交易性货币需求同支出速率即支出的流通速度有密切的关系。仍按前例,假定该人在1个月内不是平均支出,而是每周均支出全部余额的一半,那么他所保留的货币额,在第一周开始时为180元,而在四周的周末分别为90元、45元、22.5元、11.25元,由此算得他的月平均货币额即交易性货币需求为69.75元。
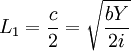
交易性货币需求也是利率的函数。由于持有货币比持有盈利性资产要牺牲利息,因此人们的持币量会对利率变动作出反应,这主要取决于持有货币与持有盈利性资产之间的交易成本。如果盈利性资产能迅速变为现金并不受损失,人们更倾向于以盈利性资产的持有来代替一大部分现金持有,这样既可获利又可应付交易需求但事实上交易成本不可能为零。这样,人们在考虑以部分盈利性资产的持有来应付交易需求时,通常会考虑以下三个因素:①预期未来一定时间内的交易支出量;②买卖盈利性资产的交易费用;③支付期内的利率,由此确定现金持有额 ,并使其净收益最大。美国经济学家威廉·杰克·鲍莫尔(William Jack Baumol)和J.托宾由此推出的“平方根定律”为:
该公式说明交易性货币需求具有利率弹性,是利率的递减函数。
交易性货币需求是由收入和利率水平共同作用的。但一般来说,利率要产生显著影响需要两个条件,一是利率足够高,二是转为盈利资产的规模充分大,才可能发生规模效应。为简化分析起见,一般认为交易性货币需求仅仅是收入的函数,即L=f(Y)。式中,Y代表收入水平。
免责声明:本内容来源于第三方作者授权、网友推荐或互联网整理,旨在为广大用户提供学习与参考之用。所有文本和图片版权归原创网站或作者本人所有,其观点并不代表本站立场。如有任何版权侵犯或转载不当之情况,请您通过400-62-96871或关注我们的公众号与我们取得联系,我们将尽快进行相关处理与修改。感谢您的理解与支持!







请先 登录后发表评论 ~