公债还本付息额
什么是公债还本付息额[1]
公债还本付息额是指在某一年度内政府对公债的偿还额。这一指标同样也包括内债还本付息额和外债还本付息额,是从政府支出角度来衡量政府的债务负担。如果将公债发行额减去公债还本付息额,可以得到公债净收入。所以,只有前者大于后者时,政府才有净债务收入可以利用。
公债还本付息额的计算[2]
公债到期后要按照债券面额还本付息。决定还本付息额大小的因素主要有债券面额、公债利率、偿债期限等。
一、单利计算法
单利计算法下,不论期限长短,只按公债本金计算利息,对其所生利息不再重复计息。以单利计算法计算公债还本付息额的公式如下:其中:A为公债还本付息额;P为公债票面额;n为公债偿还期限;r为公债利息率。
[例1]2000年发行的三年期凭证式国债,年利率为2.89%。其利息在偿还本金时一次性付给,不计复利。此种公债共发行480亿。试计算三年后到期日政府应支付的还本付息额。
解:A=P(1+nr)=480×(1+3×2.89%)=521.62(亿元)
需要特别指出的是,在单利计算法中,P指的是公债票面额,而不是发行收入。上例中的公债是以平价法发行的,票面总额和发行收入相等。当以折价方式或溢价方式发行公债时,公债票面总额与发行收入就不相等了。
公债票面总额与公债发行收人之间的差额,称为公债发行收益。溢价发行时,这个差额为正数,称为正收益;折价发行时则为负收益。由于存在这种收益额,所以在债务期满时,政府按票面额付出的还本付息额必然不同于按照发行收入计算的还本付息额。如果前者大于后者,则表示政府本期发行公债的债务成本较高,反之则表示债务成本较低。因此,计算公债发行收益额,是考察公债债务成本的一个重要环节。
设:M为公债发行收入;B为发行收益额。则:
[例2]以例1为基础,假设政府以折价发行法发行公债,折价率为10%,其发行收入为所发行票面额的90%,即为432亿元。试计算发行收益额。
B=(M-P)(1+nr)=(432-480)(1+3×2.89%)=-52.16(亿元)
二、复利计算法
以复利计算是指将经过一定期间(通常为一年)所生出的利息加人本金再计利息,逐期滚算。西方国家和国际间债权债务往来通常采用复利方法计算还本付息额。其计算方法如下:其中:A为公债还本付息额;P为公债票面额;n为公债偿还期限:r为公债利息率。
[例3]仍以例l为基础,假设对到期公债的还本付息额以复利计算。
解:
(亿元)
其中:M为公债发行收入;B为发行收益额。
[例4]以例3为基础,假设政府以折价发行法发行公债,折价率为10%,则480亿元面额公债的发行收益为432亿元。发行收益:
(亿元)
即当债务期满时的发行收益额为-52.28亿元。
比较上述各例可以知道,在不同的发行方式和利息计算法下,政府的还本付息额和发行收益额不同。因此,政府在发行公债时,必须充分考虑到发行方式与还本付息负担之间的关系。
三、保值贴补的计算方法
保值贴补,是指当物价变动幅度较大时,政府为确保债权人利益,根据市场价格波动幅度给与债权人的补贴。
我国对公债的保值政策是从1988年开始的。1995年,财政部对可上市公债取消了保值贴补,但面向个人发行的不可上市的凭证式国债继续实行保值贴补政策。
国债的保值贴补按照兑付时中国人民银行公布的保值贴补率计算。
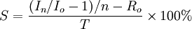
保值贴补率的计算公式如下:
,其中:S为保值贴补率;In为报告期物价指数;Io为基期物价指数;n为计算期的年份数;Ro为基础年利率;T为存期年数。
我国历年保值贴补率一览表见下表。
表 中国历年保值贴补率一览表统计(1988-1996)
国债保值贴补的计算公式为: 应付保值本息=票面额×(1+票面利率×期限+保值贴补率×保值期)
参考文献
免责声明:本内容来源于第三方作者授权、网友推荐或互联网整理,旨在为广大用户提供学习与参考之用。所有文本和图片版权归原创网站或作者本人所有,其观点并不代表本站立场。如有任何版权侵犯或转载不当之情况,请您通过400-62-96871或关注我们的公众号与我们取得联系,我们将尽快进行相关处理与修改。感谢您的理解与支持!







请先 登录后发表评论 ~