要素供给曲线
什么是要素供给曲线
要素供给曲线是指消费者为达到效用最大化,或者厂商为达到利润最大化,根据要素特点及要素拥有者自身的区别选择合适的供给量,显示了要素价格和资源之间的关系。
消费者的要素供给曲线



消费者的收入有两个来源,一是非要素收入,如赠送收入;二是要素收入。假设非要素收入为Y,消费者初始时拥有L单位的既定资源,要素价格为W,那么消费者总的收入为
在图1(要素供给的无差异曲线分析)中(要素供给的无差异曲线分析)。消费者的要素供给量为
,而这是由要素价格W决定的。在消费者偏好、初始非要素收入Y和资源数量L既定的情况下,W决定了预算约束线的斜率,从而决定了与消费者偏好相切的切点E。而要素供给量恰恰是由E点的位置来决定的,给定一个W,便会得到相应的要素供给量。所以,图1给出了一种画出要素供给曲线的方法。
参见图2(价格扩展线)。与图1不同的一点是图2给出了三条预算约束线,分别与U0,U1,U2相切于E0,E1,E2,余皆一样。与三条预算约束线相对应的工资分别是W0,W1,W2,且W0 < W1 < W2(注意,在这里要素价格是引起预算约束线顺时针转动的唯一原因)。我们将这三个点及其他可能的切点-如果W连续变动的话-连接起来,便得到价格扩展线PEP。价格扩展线反映了随着要素价格的不断变化,自用资源数量的变动情况。
从价格扩展线很容易得出要素供给曲线。给定要素价格W0,由图2中可知,预算线为AB,最优自用资源量为L0,于是要素供给量为
,这样就得到了要素供给曲线上的一点
,即图3(要素供给曲线)中的K0点。相应地还可得到点K1,K2(分别对应于W1、W2)以及供给曲线上的其他各点(对应于W的其他可能值)。将这些点连接起来就可得到要素的供给曲线S。
需要指出的是,图2和图3中给出的要素供给曲线具有正的斜率,但具体到某种要素却并不一定如此。事实上,要素供给曲线可以向右上方倾斜,也可以垂直,甚至向右下方倾斜。这取决于无差异曲线形状和初始状态或者效用函数U=U(Y,L)的特点。一般而言,在效用函数中,无论是什么要素或途径带来的收入都是一样的,只要数量相同就有一样的效用;但效用函数中的L却可能因为其性质不同而对效用的影响大相径庭。在后而,我们将依照各种要素不同的特点来分别描述它们的供给曲线。尽管如此,图2和图3中给出的要素供给曲线仍然具有一般性和概括性,因为通常情况下,人们总是愿意就更高的价格提供更多的要素。
市场的要素供给曲线

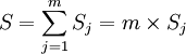
特别是,如果这些消费者的情况都一样,市场供给曲线就变为
该式可用图形来加以描绘,见图4(单个消费者和整个市场的要素供给曲线)。(a)图是单个消费者的要素供给曲线Sj,(b)图是整个市场的要素供给曲线S。当要素价格为W^*时,该消费者的要素供给量为
,整个市场的要素供给量为
。
免责声明:本内容来源于第三方作者授权、网友推荐或互联网整理,旨在为广大用户提供学习与参考之用。所有文本和图片版权归原创网站或作者本人所有,其观点并不代表本站立场。如有任何版权侵犯或转载不当之情况,请您通过400-62-96871或关注我们的公众号与我们取得联系,我们将尽快进行相关处理与修改。感谢您的理解与支持!







请先 登录后发表评论 ~