亚伯拉罕·棣·美弗
棣莫弗简介
法国裔英国籍的数学家,1667年5月26日生于法国维特里的弗朗索瓦;1754年11月27日卒于英国伦敦.
棣莫弗出生于法国的一个乡村医生之家,其父一生勤俭,以行医所得勉强维持家人温饱.棣莫弗自幼接受父亲的教育,稍大后进入当地一所天主教学校念书,这所学校宗教气氛不浓,学生们得以在一种轻松、自由的环境中学习,这对他的性格产生了重大影响.随后,他离开农村,进入色拉的一所清教徒学院继续求学,这里却戒律森严,令人窒息,学校要求学生宣誓效忠教会,棣莫弗拒绝服从,于是受到了严厉制裁,被罚背诵各种宗教教义.那时,学校不重视数学教育,但棣莫弗常常偷偷地学习数学.在早期所学的数学著作中,他最感兴趣的是C.惠更斯(Huygens)关于赌博的著作,特别是惠更斯于1657年出版的《论赌博中的机会》(Deratiociniis in ludo aleae )一书,启发了他的灵感.
1684年,棣莫弗来到巴黎,幸运地遇见了法国杰出的数学教育家、热心传播数学知识的J·奥扎拉姆(Ozanam).在奥扎拉姆的鼓励下,棣莫弗学习了欧几里得(Enclid)的《几何原本》(Ele-ments)及其他数学家的一些重要数学著作.
1685年,棣莫弗与许多信仰新教的教友一道,参加了震惊欧洲的宗教骚乱,在这场骚乱中,他与许多人一起被监禁起来.正是在这一年,保护加尔文教徒的南兹敕令被撤销.随后,包括棣莫弗在内的许多有才华的学者由法国移住英国.据教会的材料记载,棣莫弗一直被监禁至1688年才获释,并于当年移居伦敦.但据 20世纪60年代发现的一份当时的材料,1686年时棣莫弗已经到了英国.随后,棣莫弗一直生活在英国,他对数学的所有贡献全是在英国做出的.
抵达伦敦后,棣莫弗立刻发现了许多优秀的科学著作,于是如饥似渴地学习.一个偶然的机会,他读到I·牛顿(Newton)刚刚出版的《自然哲学的数学原理》(Mathematical principles of natural philosophy),深深地被这部著作吸引了.后来,他曾回忆起自己是如何学习牛顿的这部巨著的:他靠做家庭教师糊口,必须给许多家庭的孩子上课,因此时间很紧,于是就将这部巨著拆开,当他教完一家的孩子后去另一家的路上,赶紧阅读几页,不久便把这部书学完了.这样,棣莫弗很快就有了充实的学术基础,并开始进行学术研究.
1692年,棣莫弗拜会了英国皇家学会秘书E·哈雷(Halley),哈雷将棣莫弗的第一篇数学论文“论牛顿的流数原理”(On New-ton’s doctrine of fluxions )在英国皇家学会上宣读,引起了学术界的注意.1697年,由于哈雷的努力,棣莫弗当选为英国皇家学会会员.
棣莫弗的天才及成就逐新受到了人们广泛的关注和尊重哈雷将棣莫弗的重要著作《机会的学说》(The doctrine of chances)呈送牛顿,牛顿对棣莫弗十分欣赏.据说,后来遇到学生向牛顿请教概率方面的问题时,他就说:“这样的问题应该去找棣莫弗,他对这些问题的研究比我深入得多”.1710年,棣莫弗被委派参与英国皇家学会调查牛顿-莱布尼茨关于微积分优先权的委员会,可见他很受学术界的尊重.1735年,棣莫弗被选为柏林科学院院士.1754年,又被法国的巴黎科学院接纳为会员.
棣莫弗终生未婚.尽管他在学术研究方面颇有成就,但却贫困潦倒.自到英国伦敦直至晚年,他一直做数学方面的家庭教师.他不时撰写文章,还参与研究确定保险年金的实际问题,但获得的收入却极其微薄,只能勉强糊口.他经常抱怨说,周而复始从一家到另一家给孩子们讲课,单调乏味地奔波于雇主之间,纯粹是浪费时间.为此,他曾做了许多努力,试图改变自己的处境,但无济于事.
棣莫弗在87岁时患上了嗜眠症,每天睡觉长达20小时.当时有一等差级数.当24小时高睡不起时,他便在贫寒中离开了人世.
棣莫弗的贡献
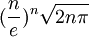
他的主要贡献在概率论,1711年写成《抽签的计量》一文,1718年修改扩充为《机会论》(The Doctrine of Chances)。这是概率论较早的专著之一,首次定义了独立事件(Independent Event)的乘法定理,给出二项分布(Binomial Distribution)的公式,讨论了掷骰和其他赌博的许多问题。他在1730年出版的另一专著《分析杂论》中最早使用概率积分
,得到n阶乘的级数表达式,并指出对于很大的n,n!~
后人误称为斯特灵公式(Stirling's Formula)。 1733年他又用阶乘的近似公式导出正态分布(Normal Distribution)的频率曲线,作为二项分布的近似。此外,他于1695年写过研究牛顿流数法的论文;1707年在研究三角学时实质上已得到棣莫弗定理(De Moivre's Theorem),
,1722年正式发表;用复数证明了求解方程xn − 1 = 0,相当于把圆周分成n等份;将概率论用于保险事业,于1725年出版过专门论著《论终身年金》。
免责声明:本内容来源于第三方作者授权、网友推荐或互联网整理,旨在为广大用户提供学习与参考之用。所有文本和图片版权归原创网站或作者本人所有,其观点并不代表本站立场。如有任何版权侵犯或转载不当之情况,请您通过400-62-96871或关注我们的公众号与我们取得联系,我们将尽快进行相关处理与修改。感谢您的理解与支持!







请先 登录后发表评论 ~