百分位数
百分位数(Percentile)
什么是百分位数
百分位数又称百分位分数(percentile),是一种相对地位量数,它是次数分布中的一个点。把一个次数分布排序后,分为100个单位,百分位数就是次数分布中相对于某个特定百分点的原始分数,它表明在次数分布中特定个案百分比低于该分数。百分位数用P加下标m(特定百分点)表示。譬如,若P30等于60,则其表明在该次数分布中有30%的个案低于60分。
百分位数的应用[1]
百分位数用于描述一组数据某一百分位置的水平,多个百分位数结合应用,可全面描述一组观察值的分布特征;百分位数还可用于确定非正态分布资料的医学参考值范围。但应用百分位数时,样本含量要足够大,否则不宜取太靠近两端的百分位数。
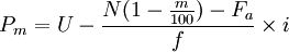
百分位数的计算
其中,Pm——第m百分位数;
L——Pm所在组的组实下限;
U——Pm所在组的组实上限;
f——Pm所在组的次数;
Fb——小于L的累积次数;
Fa——大于U的累积次数。
【例1】某省某年公务员考试考生分数分布如下表所示,预定取考分居前15%的考生进行面试选拔,请划定面试分数线。
解:由于预定取考分居前15%的考生进行面试,即有85%的考生分数低于划定的分数线,由此可知,分数线在70~74这一组中。
【例2】对于考试成绩的统计,如果您的成绩处在95的百分位数上,则意味着95%的参加考试者得到了和您一样的考分或还要低的考分,而不是您答对了95%的试题。也许您只答对了20%,即使如此,您取得的成绩也与95%的参加考试者一样好,或者比95%的参加考试者更好[2]。
【例3】假设想为退休存够钱。可创建一个包括所有不确定变量的模型,如投资年回报率、通货膨胀、退休时的开支等,得到概率分布的结果如下图所示,如果选择平均值,钱不够的概率就会有50%。所以选第90百分位数所对应的投资数,这样钱不够的概率将只有10%[2]。
参考文献
- 徐文彬.第三节 百分位数与百分等级数 第四章 数据的离中趋势及其描述 教育统计学:思想、方法与应用.南京师范大学出版社,2007.3
免责声明:本内容来源于第三方作者授权、网友推荐或互联网整理,旨在为广大用户提供学习与参考之用。所有文本和图片版权归原创网站或作者本人所有,其观点并不代表本站立场。如有任何版权侵犯或转载不当之情况,请您通过400-62-96871或关注我们的公众号与我们取得联系,我们将尽快进行相关处理与修改。感谢您的理解与支持!







请先 登录后发表评论 ~