多列相关
多列相关(Multiserials Correlation)
什么是多列相关[1]
多列相关也称多系列相关,适用于处理两列正态变量资料,其中一列为等距或等比的测量数据,另一列被人为地划分为多种类别,称为名义变量。譬如,学习成绩被人为地分为优、良、中、差四类。如果某一正态变量被人为地划分为三个类别,就称为三列相关,划分为四个类别就称为四列相关。
多列相关多用于一列正态连续变量与另一列正态称名变量之间的一致性分析,在测验中常用于效度检验,也可作为运用双列次数分布表来计算相关系数的一种方法。
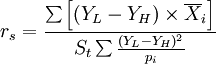
多列相关系数的计算公式[2]
多列相关系数的计算公式是由皮尔逊积差相关系数公式推导而来的,其公式如下所示:
Pi——每系列的次数比例;
YL——每一名义变量下限的正态曲线高度,由p。查正态表可知;
YH——每一名义变量上限的正态曲线高度,由A查正态表可知;
——与每一名义变量对应的连续变量的平均数;
St——连续变量的标准差。
多列相关系数的取值介于-1.00和+1.00之间,相关系数的绝对值越接近1,表示其相关程度越高。
参考文献
免责声明:本内容来源于第三方作者授权、网友推荐或互联网整理,旨在为广大用户提供学习与参考之用。所有文本和图片版权归原创网站或作者本人所有,其观点并不代表本站立场。如有任何版权侵犯或转载不当之情况,请您通过400-62-96871或关注我们的公众号与我们取得联系,我们将尽快进行相关处理与修改。感谢您的理解与支持!







请先 登录后发表评论 ~