异方差性
异方差性(heteroscedasticity)
异方差性的定义[1]
设线性回归模型为:
经典回归中所谓同方差是指不同随机误差项
的方差相同,即:
var(ut) = σ2
如果随机误差项的方差不是常数,则称随机项 具有异方差性(heteroskedasticity),即:
常数u_t(t=1,2,\cdots n)
异方差性的几何直观表示形式,可借助观测值的散布图表示。以一元线性回归为例,在散布图上,就是样本残差平方
随解释变量的变化而变化。
产生异方差性的原因[2]
在计量经济研究中,异方差性的产生原因主要有以下几种。
- 1.模型中遗漏了某些解释变量
如果模型中只包含所要研究的几个主要因素,其他被省略的因素对被解释变量的影响都归入了随机误差项,则可能使随机误差项产生异方差性。
例如,用截面数据研究消费函数,根据绝对收入消费原理,设消费函数为:
yt = b0 + b1x1 + ut
其中:yt为家庭消费支出,xt为家庭可支配收入。在该模型中,物价水平Pt没有包括在解释变量中,但它对消费支出是有影响的,该影响因素却被放在随机误差项中。如果物价水平是影响消费的重要部分,则很可能使随机误差的方差变动呈现异方差性。另一方面如果用xt / Pt只表示不同家庭收入组的数据来研究消费函数,则不同收入组在消费支出上的差异是不同的。高收入组的消费支出差异应该很大,而低收入组的消费支出差异就很小。不同收入的家庭其消费支出有不同的差异变化。
再例如,用截面数据研究某一时点上不同地区的某类企业的生产函数,其模型为:
u为随机误差项,它包含了除资本K和劳动力L以外的其他因素对产出Y的影响,比如不同企业在设计上、生产工艺上的区别,技术熟练程度或管理上的差别以及其他因素,这些因素在小企业之间差别不大,而在大企业之间则相差很远,随机误差项随L、K增大而增大。由于不同的地区这些因素不同造成了对产出的影响出现差异,使得模型中的u具有异方差性,并且这种异方差性的表现是随资本和劳动力的增加而有规律变化的。
- 2.模型函数形式的设定误差
在一般情况下,解释变量与被解释变量之间的关系是比较复杂的非线性关系。在构造模型时,为了简化模型,用线性模型代替了非线性关系,或者用简单的非线性模型代替了复杂的非线性关系,造成了模型关系不准确的误差。如将指数曲线模型误设成了线性模型,则误差有增大的趋势。
- 3.样本数据的测量误差
一方面,样本数据的测量误差常随时间的推移而逐步积累,从而会引起随机误差项的方差增加。另一方面,随着时间的推移,抽样技术和其他收集资料方法的改进,也使得样本的测量误差逐步减少,从而引起随机误差的方差减小。因此,在时间序列资料中,由于在不同时期测量误差的大小不同,从而随机项就不具有同方差性。
- 4.随机因素的影响
经济变量本身受很多随机因素影响(比如政策变动、自然灾害或金融危机等),不具有确定性和重复性,同时,社会经济问题涉及人的思维和行为,也涉及各阶层的物质利益,人的行为具有很多不确定因素。
因此,经济分析中经常会遇到异方差性的问题。而且经验表明,利用横截面数据建立模型时,由于在不同样本点上(解释变量之外)其他因素影响的差异较大,所以比时间序列资料更容易产生异方差性。
在实际经济计量分析中,绝对严格的同方差性几乎是不可能的,异方差性可以说是一种普遍的现象。
异方差性的影响[1]
- 1.对模型参数估计值无偏性的影响
以一元线性回归模型为例。设一元线性回归模型为yt = b0 + b1xt + ut,随机误差项ut的方差随解释变量的变化而变化:
,其他条件不变。此时:
。在高斯——马尔可夫定理证明过程中曾经得到:
,因此,
。这表明b1满足无偏性。同理可以证明
也是b0的无偏估计量。
由此可见,随机误差项存在异方差性,并不影响模型参数最小二乘估计值的无偏性。
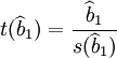
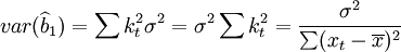
- 2.对模型参数估计值有效性的影响
在上述假定下参数b1的估计值
的方差为
在随机误差项ut同方差的假定下,则参数的估计值
的方差为
在随机误差项ut存在异方差条件下,假设参数估计值为
,=var(ut=1,2,…n),此时,
比较上式两端,当
时,有
从而说明在随机误差项ut存在异方差条件下,最小二乘估计量
不再具有最小方差。同理
也有类似的结果。
由此可见,当线性回归模型的随机误差项存在异方差时,参数的最小二乘估计量不是一个有效的估计量。
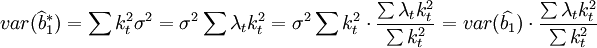
- 3.对模型参数估计值显著性检验的影响
在同方差的情况下,如果以σ2的无偏估计量
估计σ2,就可以得到系数
的标准误差为
但是,在异方差的情况下,
是一些不同的数值,只有估计出每一个
之后才能得到系数的标准误差,这在只有一组样本观测值的情况下是无法做到的。而且如果设
,则在异方差的情况下,系数的标准误差:
因此,如果仍然用
计算系数的标准误差,将会产生估计偏差,偏差的大小取决于第二个因子值
的大小,当其大于1时,则会过低估计系数的误差;反之,则做出了过高的估计。因而,检验的可靠性降低。
在异方差情况下,无法正确估计系数的标准误差
,用t统计量为
来判断解释变量影响的显著性将失去意义。
参考文献
免责声明:本内容来源于第三方作者授权、网友推荐或互联网整理,旨在为广大用户提供学习与参考之用。所有文本和图片版权归原创网站或作者本人所有,其观点并不代表本站立场。如有任何版权侵犯或转载不当之情况,请您通过400-62-96871或关注我们的公众号与我们取得联系,我们将尽快进行相关处理与修改。感谢您的理解与支持!







请先 登录后发表评论 ~