四分位数
四分位数(Quartile)
什么是四分位数
分位数根据其将数列等分的形式不同可以分为中位数,四分位数,十分位数、百分位数等等。四分位数作为分位数的一种形式,在统计中有着十分重要的意义和作用。
人们经常会将数据划分为4个部分,每一个部分大约包含有1/4即25%的数据项。这种划分的临界点即为四分位数。它们定义如下:
- Q1=第1四分位数,即第25百分位数;
- Q2=第2四分位数,即第50百分位数;
- Q3=第3四分位数,即第75百分位数。
四分位数的计算[1]
(一)根据未分组的资料计算四分位数
第一步:确定四分位数的位置。
四分位数是将数列等分成四个部分的数,一个数列有三个四分位数,设下四分位数、中位数和上四分位数分别为Q1、Q2、Q3,则:Q1、Q2、Q3的位置可由下述公式确定:
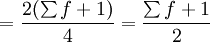
Q1的位置
Q2的位置
Q3的位置
式中n表示资料的项数
第二步:根据第一步所确定的四分位数的位置,确定其相应的四分位数。
例如:某车间某月份的工人生产某产品的数量分别为13、13.5、13.8、13.9、14、14.6、14.8、15、15.2、15.4、15.7公斤,则三个四分位数的位置分别为:
Q1的位置
Q2的位置
Q3的位置
即变量数列中的第三个、第六个、第九个工人的某种产品产量分别为下四分位数、中位数和上四分位数。即:
Q1 = 13.8公斤、Q2 = 14.6公斤、Q3 = 15.2公斤
上例中(n+1)恰好为4的倍数,所以确定四分数较简单,如果(n+1)不为4的整数倍数,按上述分式计算出来的四分位数位置就带有小数,这时,有关的四分位数就应该是与该小数相邻的两个整数位置上的标志值的平均数,权数的大小取决于两个整数位置距离的远近,距离越近,权数越大,距离越远,权数越小,权数之和等于1。
例如:某车间某月份的工人生产某产品的数量分别为13、13.5、13.8、13.9、14、14.6、14.8、15、15.2、15.4公斤,则三个四分位数的位置分别为:
Q1的位置
Q2的位置
Q3的位置
即变量数列中的第2.75项、第5.5项、第8.25项工人的某种产品产量分别为下四分位数、中位数和上四分位数。即:
Q1=0.25×第二项+0.75×第三项=0.25×13.5+0.75×13.8=13.73(公斤)
Q2=0.5×第五项+0.5×第六项=0.5×14+0.5×14.6=14.3(公斤)
Q3=0.75×第八项+0.25×第九项=0.75×15+0.25×15.2=15.05(公斤)
在实际资料中,由于标志值序列中的相邻标志值往往是相同的,因而不一定要通过计算才能得到有关的四分位数。
(二)由组距式数列确定四分位数
第一步,向上或向下累计次数。
第二步,根据累计次数确定四分位数的位置。
1)当采用向上累计次数的资料确定四分位数时,四分位数位置的公式是:
Q1的位置
Q2的位置
Q3的位置
式中:
表示资料的总次数。
2)当采用向下累计次数的资料确定四分位数时,四分位数位置的公式是:
Q1的位置
Q2的位置
Q3的位置
式中:
表示资料的总次数。
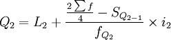
第三步,根据四分位数的位置算出各四分位数。
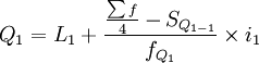
1)当累计次数是向上累计时,按下限公式计算各四分位数。
式中:Q1、Q2、Q3分别表示下四分位数、中位数和上四分位数;
L1、L2、L3分别表示下四分位数、中位数和上四分位数所在组的下限;
i1、i2、i3分别表示下四分位数、中位数和上四分位数所在组的组距;
表示总次数;
、
、
分别表示下四分位数、中位数和上四分位数所在组的次数;
SQ1 − 1表示下四分位数前一组的累计次数;
SQ2 − 1表示中位数前一组的累计次数;
SQ3 − 1表示上四分位数前一组的累计次数。
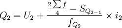
2)当累计次数是向下累计时,按上限公式计算各四分位数。
式中:Q1、Q2、Q3分别表示下四分位数、中位数和上四分位数;
U1、U2、U3分别表示下四分位数、中位数和上四分位数所在组的上限;
i1、i2、i3分别表示下四分位数、中位数和上四分位数所在组的组距;
表示总次数;
、
、
分别表示下四分位数、中位数和上四分位数所在组的次数;
SQ1 − 1表示下四分位数后一组的累计次数;
SQ2 − 1表示中位数后一组的累计次数;
SQ3 − 1表示上四分位数后一组的累计次数。
例如:某企业职工按月工资的分组资料如下:
根据上述资料确定某企业职工的月工资的三个四分位数如下:
1)采用向上累计职工人数的资料得月工资四分位数的位置为:
Q1的位置
Q2的位置
Q3的位置
根据计算结果可知,Q1、Q2、Q3分别位于向上累计职工人数的第二组、第三组和第 四组,月工资四分位数分别为:
(元)
(元)
(元)
2)采用向下累计职工人数的资料得月工资四分位数的位置为:
Q1的位置
Q2的位置
Q3的位置
同样可知:Q1、Q2、Q3分别位于向下累计职工人数的第二组、第三组和第四组,月 工资四分位数分别为:
(元)
(元)
(元)
计算结果同按下限公式计算的一致,即所求某企业职工月工资的三个四分数也分别为698.75元、793.33元和897.41元。
四分位数的案例分析
案例一[2]
有l9名工人时产量件数为:14、15、16,16.17、18、18、19、19、20.2l,11、22、22、23、24、24、25、26,用n代表总体单位数。用Q1、Q2、Q3分别代表第一个、第二个和第三个四分位数。这三个四分位数的位置及其数值,可按下列公式算出:
Q1位置
,则Q1=17件;
Q2位置
,则Q2=20件;
Q3位置
,则Q3=23件。
四分位数间距=Q3 − Q1=23-17=6件。四分位差=
=6÷2=3件。通过第一四分位数17件,可以说明有1/4的工人时产量小于17件,有3/4的工人时产量大于17件。通过第三四分位数23件,可以说明有3/4的工人时产量小于23件,有l/4的工人时产量大于23件。
如果n+1不是4的倍数,Q1、Q2、Q3的位置便是小数。可按小数比例乘以前后两项标志值之差求出其数值。比如有20名工人,则n=20,其四分位数为:
Q1位置
,则Q1=17+(18-17)×0.25=17.25件;
Q2位置
,则Q2=20+(21-20)×0.5=20.5件;
Q3位置
,则Q3=23.75件。
如果根据组距数列计算四分位数,也应按从组距数列计算中位数的方法,首先确定其位置。这时Q1、Q2、Q3的位置应分别根据
、
、
来确定。然后,再仿照求中位数的办法,按比例推算其数值。
参考文献
免责声明:本内容来源于第三方作者授权、网友推荐或互联网整理,旨在为广大用户提供学习与参考之用。所有文本和图片版权归原创网站或作者本人所有,其观点并不代表本站立场。如有任何版权侵犯或转载不当之情况,请您通过400-62-96871或关注我们的公众号与我们取得联系,我们将尽快进行相关处理与修改。感谢您的理解与支持!







请先 登录后发表评论 ~