盈亏平衡定价法
盈亏平衡定价法(Breakeven Pricing)
盈亏平衡定价法概述
盈亏平衡定价法也叫保本定价法或收支平衡定价法是指在销量既定的条件下,企业产品的价格必须达到一定的水平才能做到盈亏平衡、收支相抵。既定的销量就称为盈亏平衡点,这种制定价格的方法就称为盈亏平衡定价法。科学地预测销量和已知固定成本、变动成本是盈亏平衡定价的前提。
盈亏平衡定价法就是运用盈亏平衡分析原理来确定产品价格的方法。盈亏平衡分析的关键是确定盈亏平衡点,即企业收支相抵,利润为零时的状态。
盈亏平衡定价法的计算公式
公式为:
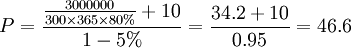
例:某旅游饭店共有客房300间,全部客房年度固定成本总额为300万美元,每间客房每天变动成本为10美元,预计客房年平均出租率为80%,营业税率为5%,求该饭店客房保本时的价格。
根据所给数据和公式,计算如下:
(美元)
根据盈亏平衡定价法确定的旅游价格,是旅游企业的保本价格。低于此价格旅游企业会亏损,高于此价格旅游企业则有盈利,实际售价高出保本价格越多,旅游企业盈利越大。因此,盈亏平衡定价法常用作对旅游企业各种定价方案进行比较和选择的依据。
免责声明:本内容来源于第三方作者授权、网友推荐或互联网整理,旨在为广大用户提供学习与参考之用。所有文本和图片版权归原创网站或作者本人所有,其观点并不代表本站立场。如有任何版权侵犯或转载不当之情况,请您通过400-62-96871或关注我们的公众号与我们取得联系,我们将尽快进行相关处理与修改。感谢您的理解与支持!







请先 登录后发表评论 ~