出口市场占有率
出口市场占有率(Export Market Share)又称为:国际市场占有率(international market share)
什么是出口市场占有率
出口市场占有率是指一国出口总额占世界出口总额的比例。它包括在开放的国际市场上,某种国产品销售额占世界该类产品总销售额的比重、某种国产品出口额占世界该类产品总出额的比重。
一个产业的国际竞争力大小,最终将表现在该产业的产品在国际市场上的占有率。在自由、良好的市场条件下,本国市场和国际市场一样,都是对各国开放的。一种产品在国际市场的占有率,反映该产品所处产业的国际竞争力大小。
出口市场占有率的计算
出口市场占有率反映一国出口的整体竞争力,比例提高说明竞争力增强,即:
出口市场占有率= 一国出口总额/世界出口总额
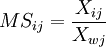
其计算公式为:
式中:MSij表示i国家j产品的市场占有率指数;Xij表示i国家j产品的出口总额;Xwj表示世界j产品的出口总额。MSij值越高,表示该产品所处的产业国际竞争力就越强,反之则越弱。
举例说明:
中国信息服务贸易市场占有率指数,见下表:
资料来源:《中国统计年鉴》1999-2006,国际收支平衡表
由计算数据显示,我国信息服务贸易的国际市场占有率很低。不超过1%,表明我国信息服务贸易的国际竞争力很弱。但是整个指数呈上升走势,说明中国信息服务贸易在世界市场上所占的份额逐渐提升,中国信息服务贸易竞争力逐渐增强。中国的入世对中国信息服务贸易的市场占有率有一定的作用。随着中国2001年加入世贸组织,中国信息服务贸易的市场占有率开始上升,2002年到2003年上升幅度最大。
出口市场占有率的评价
采用此种指标最大的优点就是概念清楚且计算简单,但是它无法客观比较同一国家不同产品或不同国家相同产品的出口竞争力,其分析与解释上受到相当的限制。
例如,假设我国与马来西亚之电子业对全球市场之占有率皆为10%,或我国电子业与纺织业出口占我国总出口值皆为10%,此并不一定代表我国与马来西亚电子业的出口竞争力相同或我国的电子业与纺织业的出口竞争力相同,因为其缺乏考虑各国经济规模大小以及各产品在全球市场的重要性。
免责声明:本内容来源于第三方作者授权、网友推荐或互联网整理,旨在为广大用户提供学习与参考之用。所有文本和图片版权归原创网站或作者本人所有,其观点并不代表本站立场。如有任何版权侵犯或转载不当之情况,请您通过400-62-96871或关注我们的公众号与我们取得联系,我们将尽快进行相关处理与修改。感谢您的理解与支持!







请先 登录后发表评论 ~