加权平均边际贡献率
加权平均边际贡献(Weighted Average Contribution Margin Ratio)
什么是加权平均边际贡献率
加权平均边际贡献率是各产品的边际贡献率乘以各产品的销售比重。
加权平均边际贡献率的计算
加权平均边际贡献率=各产品边际贡献之和/各产品销售收入之和*100%
或=Σ(各产品边际贡献率*各产品占总销售额的比重)
加权平均边际贡献率示例
某公司销售A、B、C三种产品,其固定成本为8000元,其他资料如下:
求:加权平均边际贡献率为多少?
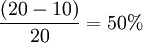
解答:A产品边际贡献率=
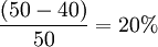
B产品边际贡献率=
C产品边际贡献率=
加权平均边际贡献率=
免责声明:本内容来源于第三方作者授权、网友推荐或互联网整理,旨在为广大用户提供学习与参考之用。所有文本和图片版权归原创网站或作者本人所有,其观点并不代表本站立场。如有任何版权侵犯或转载不当之情况,请您通过400-62-96871或关注我们的公众号与我们取得联系,我们将尽快进行相关处理与修改。感谢您的理解与支持!







请先 登录后发表评论 ~