二次指数平滑法
二次指数平滑法(Second exponential smoothing method)
什么是二次指数平滑法
二次指数平滑法是对一次指数平滑值作再一次指数平滑的方法。它不能单独地进行预测,必须与一次指数平滑法配合,建立预测的数学模型,然后运用数学模型确定预测值。一次移动平均法的两个限制因素在线性二次移动平均法中也才存在,线性二次指数,平滑法只利用三个数据和一个α值就可进行计算;在大多数情况下,一般更喜欢用线性二次指数平滑法作为预测方法。
二次指数平滑法的优点[1]
二次指数平滑法实质上是将历史数据进行加权平均作为 未来时刻的预测结果。
它具有计算简单、 样本要求量较少、 适应性较强、 结果较稳定。
二次指数平滑法的计算
线性二次指数平滑法的公式为:
(1)
式中:
分别为t期和t–1期的二次指数平滑值;a为平滑系数。在
和
已知的条件下,二次指数平滑法的预测模型为:
(2)
(3)
T为预测超前期数
例5:某地1983年至1993年财政入的资料如下,试用指数平滑法求解趋势直线方程并预测1996年的财政收入。计算过程及结果如下:
由上表可知:
;
;
;
,a=0.9 则
所求模型为:
1996年该地区财政收入预测值为:
(万元)
二次指数平滑法实例分析[2]
表中第③栏是我国1978-2002年全社会客运量的资料,据期绘制散点图,见下图,可以看出,各年的客运量资料基本呈线性趋势,但在几个不同的时期直线有不同的斜率,因此考虑用变参数线性趋势模型进行预测。具体步骤如下:
表 我国1978-2002年全社会客运量及预测值 单位:万人
第一步,计算一次指数平滑值。取
,根据一次指数平滑公式
,可计算各期的一次指数平滑预测值:
1978年:
1979年:
同理可得各年的一次指数平滑预测值,见表1中第④栏。
第二步,根据(1)式和第一步计算的 ,计算各期的二次指数平滑值,见表1中第⑤栏。如:
其余各期以此类推。
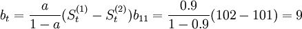
第三步,计算各期参数变量值α、b。根据(3)式,可计算各期的α、b,分别见表第⑥、第⑦栏。如
第四步,根据(4)式和(2)式分别求各期的趋势预测值,见表中最后一栏。如:
2000年预测值
;
进行外推预测,则
2003年预测值
;
2004年预测值
。
把各年的预测值绘成曲线与原时间序列的散点图比较(见上图),可以看出,二次指数平滑法由于考虑了时间序列在不同时期直线参数的变化,其预测值与原时间序列的拟合程度非常好。上图中也给出了用最小二乘法拟合的趋势直线,相比之下,用二次指数平滑法拟合的趋势线更好地体现了原时间序列在不同时间段的变化趋势。
参考文献
- ↑ 米翠兰.二次指数平滑法的研究与应用[J].华北煤炭医学院学报.2000(5)
- ↑ 二次指数平滑法的应用.庄赟.
免责声明:本内容来源于第三方作者授权、网友推荐或互联网整理,旨在为广大用户提供学习与参考之用。所有文本和图片版权归原创网站或作者本人所有,其观点并不代表本站立场。如有任何版权侵犯或转载不当之情况,请您通过400-62-96871或关注我们的公众号与我们取得联系,我们将尽快进行相关处理与修改。感谢您的理解与支持!







请先 登录后发表评论 ~