二次移动平均法
二次移动平均法(double moving average)
什么是二次移动平均法
二次移动平均法,是对一次移动平均数再进行第二次移动平均,再以一次移动平均值和二次移动平均值为基础建立预测模型,计算预测值的方法。
如上所述,运用一次移动平均法求得的移动平均值,存在滞后偏差。特别是在时间序列数据呈现线性趋势时,移动平均值总是落后于观察值数据的变化。二次移动平均法,正是要纠正这一滞后偏差,建立预测目标的线性时间关系数学模型,求得预测值。二次移动平均预测法解决了预测值滞后于实际观察值的矛盾,适用于有明显趋势变动的市场现象时间序列的预测, 同时它还保留了一次移动平均法的优点。二次移动平均法适用于时间序列,呈现线性趋势变化的预测。
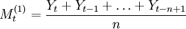
二次移动平均值的公式
二次移动平均值的公式为:
Yt:时间序列中期观察值
式中:
第t期的一次移动平均值;
第t期的二次移动平均值;
n计算移动平均值的跨越期。
二次移动平均预测法的预测模型为:
(1)
式中,
T:由t期向后推移的期望。
式中的
是指计算得出的一次移动平均数序列中的最后一个一次移动平均数。
式中的
是指计算得出的二次移动平均数序列中的最后一个二次移动平均数。
免责声明:本内容来源于第三方作者授权、网友推荐或互联网整理,旨在为广大用户提供学习与参考之用。所有文本和图片版权归原创网站或作者本人所有,其观点并不代表本站立场。如有任何版权侵犯或转载不当之情况,请您通过400-62-96871或关注我们的公众号与我们取得联系,我们将尽快进行相关处理与修改。感谢您的理解与支持!







请先 登录后发表评论 ~