趋势预测法
趋势预测法(Trend Forecast)/趋势分析法(Trend method)
趋势预测法概述
趋势预测法又称趋势分析法。是指自变量为时间,因变量为时间的函数的模式。
具体又包括:趋势平均法、指数平滑法、直线趋势法、非直线趋势法。
趋势预测法的主要优点是考虑时间序列发展趋势,使预测结果能更好地符合实际。根据对准确程度要求不同, 可选择一次或二次移动平均值来进行预测。 首先是分别移动计算相邻数期的平均值,其次确定变动趋势和趋势平均值,最后以最近期的平均值加趋势平均值与距离预测时间的期数的乘积,即得预测值。
值得注意得是,趋势移动平均法中的第一次移动平均与简单移动平均法不同, 同样是第 t 期的移动平均值,趋势移动平均法是求第 t 期实际值到第 t-n+1 期之和的平均值,而简单移动平均法是求第 t-1 项实际值到第 t-n 期之和的平均值。 在实际运用过程中,千万不能混淆。
趋势预测法的内容
趋势预测法是指对同一企业的两个或两个以上连续年度财务报表中的某些项目,或者相关财务比率进行比较分析,判断企业发展趋势的研究方法,具体包括5个方面。
(1)销售趋势
销售是企业最基本的经营活动之一,销售是否活跃从一个侧面反映了企业的经营能力。企业的销售量随市场情况的变化而变化,不同行业中企业的销售特点各不相同,分析人员要充分了解有关客户所在行业的特点,才能做出正确的分疥。企业自身的销售趋势可以说明企业的经营状况,通过企业之间销售趋势的比较,分析人员可以获得更多的有用信息。在销售趋势出现异常的情况下,要仔细判断形成这种趋势的原因。此外,销售额的增加不一定与销售数量直接相关,要考虑市场价格的影响。
(2)收益趋势
销售收入为企业提供了收入和现金的来源,企业获得的最终收益要从销售收入中扣除成本和费用。收益趋势是信用分析的另一个重要因素,要关注销售利润串的变化,对收益趋势要做企业间和行业间的数据比较。收益趋势与销售趋势具有可比性,在正常情况下,如果原材料和人工费用稳定,企业的盈利将与销售额同步增长,但在原材料和人工成本快速增加或者各项费用的增加超出销售额同步增长的时候,销售额的增长并不意味着利润的增加,如果销售量的增加是由于大幅度降价换来的,企业也会损失大量的利润,所以要将销售趋势和收益趋势结合分析。
(3)净资产变动趋势
企业净资产是总资产减去总负债后的余额,代表企业所有者拥有的资产,也代表企业清算后最终能剩下的价值,所以债权人和授信人十分关注这一指标以及该指标变动的原因和影响。造成净资产变动的原因一般有以下几个方面:留存收益:股本变化;资产重估增值;债务减少等。分析人员要仔细分析净资产变动的原因,确定是否只是表面上的净资产变动,再分析其实质。无论是股本变化引起的净资产增加,还是资产重估以及债务减少引起的净资产增加,都只是表面上的净资产增加,往往会掩盖实际亏损的情况,只有留存收益增加或发行股份引起的净资产增加对企业才是有利的。
(4)营运资本变动趋势
营运资本是流动资产减去流动负债的结果,营运资本与客户按时履行还款义务的能力有很大关系。营运资本的多少,一胶能反映企业短期偿债能力的强弱,因而其变化趋势应引起关注。营运资本可以满足企业短期融资的需要,其稳步增长是企业经营良性循环的主要特征之一,营运资本的需要量与企业不同时期的业务量有很大的关系。随着业务量的变化,资产的流动性和质量会有很大的变化,尤其是应收账款和存货的质量,在分析营运资本的趋势时要仔细核查。
(5)财务比率的变动趋势
分新人员通过对财务比串变动趋势的分轿能获得很多的信息,一些比较重要的比率趋势以及分析方法有:流动比率和速动比率应保持稳定或稳步上升的趋势;存货周转串应保持平稳,在有较大变动时应调查其原因;应收账款周转天数应保持下降的趋势:营运资本周转串的大幅度提高可能表示要增加营运资本,而营运资本周转率的大幅度下降可能说明企业的流动性受到了严重影响;固定资产与净资产比率的大幅度增长或稳定增长,可能表示固定资产投资超出了企业的需要或者融资能力;总负债与净资产比率应保持一个比较低的水平,这样债权人才能得到更多的保障;销售利润率和净资产利润串的趋势很重要,它们与企业的发展宣接相关。
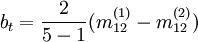
趋势预测法的模型
趋势移动平均法以最近实际值的一次移动平均值起点,以二次移动平均值估计趋势变化的斜率,建立预测模型,即:
式中,at―― 预测直线的截距;
bt―― 预测直线的斜率;
n ―― 每次移动平均的长度;
t ―― 期数。
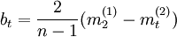
趋势移动平均法的预测模型为:
式中, k ―― 趋势预测期数;
yt + k―― 第t+k期预测值。
例: 取 n = 5 ,计算出二次移动平均值如表1所示。试用趋势平均法求第 13 期的预测值。
表1产品销售额及移动平均值
解:取t=12,则
、
分别为1085.60和1071.68
=2*1085.60-1071.68=1099.52
=0.5*(1085.60-1071.68)=6.96
yt + k=1099.53+6.96*1=1106.49
趋势分析法案例分析
案例一:某公司的趋势分析法分析[1]
一、公司概况及规划分析
1.公司发展战略
该公司主要从事铁路机车行车安全装备的研发、生产、销售、服务和计算机软件开发工作。到2008年,将争取销售总额达到3-4亿元,实现公司员工培训面达到70%,80%的各类技术人员和管理人员均达到本科以上水平,专业技术人员占公司总人数的80%以上。公司将全力开发新一代安全监控型产品如应答器,积极开展边缘产品的开发如机车状态检测,将市场拓展到汽车、船舶“黑匣子”、城轨ATP,瞄准国外市场,开拓市场新领域。
2.公司人力资源现状
公司2005年末有员工220人,人均销售收入110万元35岁以下青年员工 229人,平均年龄不到30岁,专业主要集中在计算机、自动化、电子相关专业,有少量财会专业和其他专业人员84%人员为大专以上学历,本科78人,硕士6人,在读博士1人。
公司研发部、生产部、软硬件开发部合为技术部门.从表1可见公司最大部门为技术部门和服务部门,营销部能力相对薄弱,营销部34人所要完成的产品销售任务很大。研发人员力量也比较薄弱;高科技人才和综合性管理人才缺乏。由于技术力量的薄弱和服务人员偏多造成结构性冗余。可见,要满足未来日益扩大的市场需求和实现效益最大化,核心科研能力的扩充和提升势在必行。
公司现有技术管理人员6人,设计开发人员43人(其中教授级高级工程师3人,高级工程师5人)。培训管理与文秘6人。市场推广和售后服务人员87人,分布在全国各地为安全装备产品保驾护航。从人员分类可分为管理类、工程技术类和营销类。
二、采用趋势分析法的分析
即根据企业或企业中各个部门过去的员工数量变动状况,对未来的人力需求变动趋势作出预测。其步骤如下:
1.确定适当的与劳动力数量相关的组织因素。该组织因素与组织的基本特性直接相关,以便根据这一因素来制定组织规划, 所选因素的变化必须与所需劳动力数量的变化成比例。由于时代监控公司是生产型企业,组织因素为销售额。
2.把过去的趋势直接导向未来是以时间因素为唯一变量的,找出过去的劳动力量与过去的组织因素之间的数量关系。
该公司的数量关系为2001-2005年的销售额及劳动生产率。
3.确定劳动生产率的趋势,利用收集到的一定时期的组织因素与劳动力数量的数据,计算出平均的生产率变化和组织因素的变化$作出修正$预测未来的变化。根据前几年的趋势,预测未来几年的劳动生产率不变。
由上表可知,根据公司发展战略中的经济指标,在2008年销售额达到3-4个亿,预计2008年销售额将达3.8亿.从2006-2008年3年中每年增加销售额0.5亿的数量趋势作出以下预测。
根据2005年的劳动生产率=23500÷220=106.81万元/人,预测2006-2008年劳动生产率不变的情况下,2006年的预测人数=28000÷106.81=262;2007年的预测人数=33000÷106.81=309人;2008年的预测人数=38000÷106.81=356人。
通过上述方法,可预测出公司到2008年员工需增加(356-220)=136人。
参考文献
- ↑ 袁以美.某公司人力资源规划方案研究[J].科技创业月刊,2007,20(1)
免责声明:本内容来源于第三方作者授权、网友推荐或互联网整理,旨在为广大用户提供学习与参考之用。所有文本和图片版权归原创网站或作者本人所有,其观点并不代表本站立场。如有任何版权侵犯或转载不当之情况,请您通过400-62-96871或关注我们的公众号与我们取得联系,我们将尽快进行相关处理与修改。感谢您的理解与支持!







请先 登录后发表评论 ~