三元线性回归预测法
什么是三元线性回归预测法[1]
三元线性回归预测法是指依据三个自变量的变动,来预测因变量发展变化趋势和水平的方法。
三元线性回归预测法的计算[1]
回归方程为:
Y = a + bx1 + cx2 + dx3
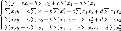
按最小二乘法原理建立方程组:
根据已知资料解联立方程组、 得出a、b、c、d四个参数值、得到具体的三元线性回归预测方程式。
相关条目
- 一元线性回归预测法
- 二元线性回归预测法
- 多元线性回归预测法
参考文献
免责声明:本内容来源于第三方作者授权、网友推荐或互联网整理,旨在为广大用户提供学习与参考之用。所有文本和图片版权归原创网站或作者本人所有,其观点并不代表本站立场。如有任何版权侵犯或转载不当之情况,请您通过400-62-96871或关注我们的公众号与我们取得联系,我们将尽快进行相关处理与修改。感谢您的理解与支持!







请先 登录后发表评论 ~