弹性系数法
弹性系数法(Elastic Coefficient Method)
什么是弹性系数法
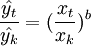
弹性系数法在对一个因素发展变化预测的基础上,通过弹性系数对另一个因素的发展变化作出预测的一种间接预测方法。弹性系数法适用于两个因素y和x之间有指数函数关系
的情况,式中α为比例系数,b为y对x的弹性系数。
弹性一词来源于材料力学中的弹性变形的概念。弹性系数指材料长度变形的百分比同所施加力变化的百分比的比率,称为交互弹性。后来弹性的概念被推广应用于社会经济领域。弹性系数被用来表示两个因素各自相对增长率之间的比率。在某一时期内能源消耗的增长率同工农业总产值的增长率的比率,就称为在该时期内能源消耗相对于工农业总产值的弹性系数。如果这个系数为0.9,比例系数α为1.096,工农业总产值预测增长为7.2%,那么能源消耗增长的预测就是6.48%。
弹性系数法的预测公式
有3种表达形式:
1、
2、
3、
(近似公式为
)
式中k为基期,t为预测期。相应地弹性系数b也有3种估值方法:
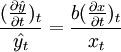
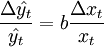
1、logyt = blogxt + loga用最小二乘法求得
2、
3、
从y同x的函数关系中求得。当弹性系数为常数时,称为恒弹性系数,否则为变弹性系数。称为弹性充足;|b|<1,当|b|>1,称为弹性充足;|b|<1,称为弹性不足。
弹性系数法的应用
弹性系数法在能源方面应用很广,常用的是能源需求相对于国民生产总值(GNP)的弹性系数。例如工业的弹性系数,中国1950~1978年为0.95~1.0;美国1950~1973年为0.94;日本1960~1973年为1.0,1975~1978年降为0.43。工农业总产值预测增长为7.2%,那么能源消耗增长的预测就是6.48%。大多数国家在 1.0附近。对于商品的市场需求量,可对消费者收入水平求弹性,称为需求量的收入弹性;对其价格求弹性,称为价格弹性;对另一产品(互补产品或代用产品)的价格求弹性,称为交互弹性。
弹性系数法在现代物流中的应用:
此方法的数学模型为:
式中:
——未来第L期的预测值;
- YT——预测对象在当前统计期值;
- i',i——预测对象在过去和未来时间的平均增长率(%);
- L——预测期的时间长度;
- q',q——分别为类比变时在过去和在未来的年均增长率。
例:某地区在某年的货物周转量为2000万t.km,在过去的5年中,该地区的货物周转量年平均增长率为5%,而其国民生产总值的年平均增长率为10%,预计未来3年中该地区的国民生产总值将保持8%的平均增长速度,那么该地区3年后的货物周转量为:
(万t.km)
弹性系数法案例分析
案例一:基于弹性系数法的全国公路客货运量预测研究[1]
一、概况
到2002年底,我国公路通车里程已达176.5222×104km,高速公路通车里程为2。513×104km,汽车总保有量超过2053.1677×104辆[2]。在国民经济持续快速增长和人民生活水平不断提高的有力推动下,我国公路客货运输呈现良好的发展势头。在2002年,我国共完成公路旅客运输量(以下简称公路客运量)147.53亿人,公路货物运输量(以下简称公路货运量)111.63×108t[2],与2001年相比分别增加5.1653%和5.6813%。
预测今后几年我国公路客货运量及其发展趋势,对优化资源配置,建立比较完善的公路客货运市场,从根本上转变公路客货运体制和经济增长方式,不断提高公路客货运的经济与社会效益等,均具有重要的意义。同时,也可为其他一系列相关问题的科学决策提供可靠的依据。
二、时间序列数据及其初步分析
从开展预测的角度出发,充分地占有数据是必要的前提。只有充分地占有过去的数据和未来的信息,才能正确地把握事件的特性,选择和判断影响预测事件的主要因素,建立预测模型,并利用模型进行预测。在此,数据的多少和正确与否将直接决定预测的精度。
表1过去10年我国公路客货运量国内生产总值时间序列数据。
表1 给出与预测直接有关的各种时间序列数据
而与表1中的时间序列数据对应的各项指标年增长率见。表2
表2 各项指标年增长率 (%)
三、弹性系数法预测模型
1.弹性系数法预测模型
弹性系数法是经济预测中被各国研究机构与研究人员所广泛应用的一种方法。用该方法预测时的数学模型为
式中yt——预测对象y在时刻f的预测值;
——预测对象y在当前时刻t^\prime的值;
——预测对象在过去一段时间的平均增长率,%;
i——预测对象在今后一段时间的平均增长率,%;
Es——弹性系数;。
——类比变量在过去一段时间的平均增长率,%;
q——类比变量在今后一段时间的平均增长率,%。
2.预测结果
由表1、表2统计结果可以看出,在过去的10年中,我国公路客运量年均增长率为7.3481%,公路货运量年均增长率为3.6734%,国内生产总值年均增长率为9.32%。另外,2002年全国共完成公路客运量147.5257亿人,公路货运量111.6324×108t。
与此同时,按中国共产党第十六次全国代表大会提出的国内生产总值到2020年力争比2000年翻两番的宏伟目标,到2020年我国国内生产总值将一直保持7.18%的年均增长速度。而按国家统计局对今后几年的预测以及对国民经济实际运行情况的深入分析,今后几年我国国内生产总值年均增长速度极有可能为8.00%左右。
由此可以确定,按弹性系数法预测模型,我国2007年的公路客运量低值应为。
(亿人)。
而其高值则为
(亿人)。
同理,2007年的公路货运量低值应为
表3为采用弹性系数法时2003-2005年的具体预测值。
表3 我国2003年-2005年公路客货运量预测值
四、预测结果分析
综合以上由弹性系数法所得出的预测结果,不难看出我国2003年一2007年间无论公路客运量,还是公路货运量均将呈继续上升的态势,预测年份里两者的年均增长率分别为5.9857%和2.9921%,较之它们在过去的10年中各自的年均增长速度略低一点,但比两项指标最近5年中分别为4.1524%和2.7349%的年均增长速度要高出不少,因而预测结果与国家宏观的国民经济与社会发展目标十分吻合,或者说绝对有能力支撑预期的国内生产总值年均增长速度。
另外,预测结果也提醒我们,未来几年公路客货运量的增长势头仍然比较强劲,因而对道路基础条件和客货运装备条件的改善提出了新的挑战,需要决策者们未雨绸缪,认真加以应对。要紧紧抓住国家扩大内需,实施积极财政政策的机遇,加快发展公路交通,使公路交通运输生产力水平跃上一个新台阶,为拉动国民经济增长和改善人民群众的出行条件做出新的贡献。
与此同时,还要进一步加快道路运输结构的调整,以市场为导向,通过政策引导、行业推动、企业自愿、外引内联等途径,按照建立现代企业制度的要求,尽快形成一批具备一级经营资质的跨地区、跨行业的运输企业集团,充分发挥规模经营效益,提高公路客货运的科技含量和技术水平,加快科技创新,加快公路交通信息化、公路数据库、智能交通系统(ITS)、现代物流技术(MLT)等的开发研究和推广应用,实现公路交通新的跨越式发展。
由弹性系数法所得出的预测结果可以看出,我国2003年一2007年间公路客货运量均将呈继续上升的态势,预测年份里两者的年均增长率分别为5.9857%和2.9921%,与国家宏观目标十分吻合,也完全可以支撑预期的国内生产总值年均增长速度。
相关条目
- 市场供应弹性预测法
参考文献
免责声明:本内容来源于第三方作者授权、网友推荐或互联网整理,旨在为广大用户提供学习与参考之用。所有文本和图片版权归原创网站或作者本人所有,其观点并不代表本站立场。如有任何版权侵犯或转载不当之情况,请您通过400-62-96871或关注我们的公众号与我们取得联系,我们将尽快进行相关处理与修改。感谢您的理解与支持!







请先 登录后发表评论 ~