消费需求弹性预测法
什么是消费需求弹性预测法 [1]
消费需求弹性预测法,是指预测者依据商品价格变化与商品需求量变化的关系,进行市场预测的方法。市场商品需求受多种因素的影响,主要因素有:
①价格因素。 一般地说,价格上升,需求量要下降,价格下降,需求量就会增加;
②消费者收入因素。大多数商品随着消费者收入的增加,其需求量也随之增加,收入减少,商品需求量也随之下降。除此之外,市场商品需求还受消费者心理、消费的环境等因素的影响。这说明市场上的商品需求具有一定的伸缩性和变动性。
在影响商品需求的诸多因素中,价格因素无疑是一个主要因素。商品价格的变动会引起市场对商品需求的变化。早在19世纪,西方经济学家马歇尔就看到这一点,提出需求弹性理论和价格弹性理论。从此,价格变动成了市场商品供求理论和分析价格与供求关系的重要工具。消费需求弹性预测法就是以这一理论为依据的。
消费需求弹性预测法的应用 [1]
应用消费需求弹性预测法进行市场预测,必须要确定需求弹性系数。下面就需求弹性系数的基本含义作一阐述。
需求弹性系数,指的是商品需求量对价格变动的反映程度。一般用价格变动的相对量与需求变动的相对量之比求得,即等于需求量变动的百分比除以价格变动的百分比。这两个变动的百分率的比值称为弹性系数。其公式为:
|
|
|
需求弹性系数= | 需求变动百分率 | |
| 价格变动百分率 |
若E用表示需求弹性系数:
P0表示变动前的价格,即原来价格;
P1表示变动后的价格;
Q0表示价格变动前的需求量;
Q1表示价格变动后的需求量。
则有以下计算公式:
(ΔQ = Q1 − Q0,ΔP = P1 − P0)
需求弹性系数E一般为负数,它表示商品价格下降时,销售量或需求量上升,为了说明的方便,对E取绝对值。E的取值不同,表明需求弹性对价格变动反应不同。它主要有三种类型:
①富于弹性。当需求量变动百分数大于价格变动百分数, 即需求弹性系数大于1时,叫做需求富有弹性。比如,价格下降2%,需求量增加4%。
②单一弹性。这指需求变动百分数等于价格变动百分数, 也就是需求弹性系数等于1。例如,价格下降2%时,需求也增加2%。
③缺乏弹性。当需求量变动百分数小于价格变动百分数, 也就是需求弹性系数小于1时,称为需求缺乏弹性。例如,价格减少2%,只引起需求量增加1%。
还有需求完全无弹性的情形,即需求对价格毫无反应的极端情况。比如商品价格下跌10%,需求量仍保持不变。
下面的例子是需求弹性系数的求法:
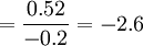
例,某啤酒公司在某市每瓶啤酒售价为3.5元时,每月销售量为5600瓶。当每瓶啤酒降价到2.8元时,每月销售量上升到8500瓶,求啤酒的需求弹性系数是多少?
已知:
P0=3.5元
P1=2.8元
Q0=5600,Q1=8500
解:
啤酒的需求弹性系数为-2.6,它表明每瓶啤酒售价下降1%,啤酒需求量就能增加2.6%。
在一般需求价格弹性测算中,价格与需求两者是一降一升,或是一减一增,朝相反方向运动,所以需求弹性系数是负数。
有了需求弹性系数,就可以利用它进行市场预测。利用需求弹性系数进行预测,需要采用以下公式:
∵
∴
ΔQ就是由于需求价格弹性带来需求的增加量。需求弹性预测法的基本公式有:
Y = Q0 + ΔQ
=
下面我们举一具体例子。
例,某市2002年在几家百货商场对彩电进行降价销售。上半年彩电平均售价为2150元/台,销售量为3100台;下半年彩电平均价降为1630元/台, 销售量为4900台。 该市2002年全市彩电销售量为25000台,预计2003年每台彩电降价300元。①请计算彩电的需求弹性系数。②用需求弹性预测法预测该市2003年彩电需求量。
分析:首先,根据题意,利用2002年几家百货商场的降阶销售资料求出需求弹性系数E;再利用预测公式
,求出该市2003年彩电需求量。
步骤:
第一步:求2002年彩电需求弹性系数。
第二步:预测该市2003年彩电需求量。
根据题意,该市2003年彩电在2002下半年每台1630元基础上,再降价300元,因此,
P0=1630元 ΔP=-300元 Q0=25000(2002年全市彩电销售量)
=25000+11135
=36135(台)
所以,预测该市2003年彩电需求量为36135台。
参考文献
相关条目
- 消费水平预测法
- 市场供应弹性预测法
免责声明:本内容来源于第三方作者授权、网友推荐或互联网整理,旨在为广大用户提供学习与参考之用。所有文本和图片版权归原创网站或作者本人所有,其观点并不代表本站立场。如有任何版权侵犯或转载不当之情况,请您通过400-62-96871或关注我们的公众号与我们取得联系,我们将尽快进行相关处理与修改。感谢您的理解与支持!







请先 登录后发表评论 ~