增长率计算法
什么是增长率计算法
增长率计算法,指根据预测对象在过去的统计期内的平均增长率,类推未来某期预测值的一种简便算法。
增长率计算法的数学模型
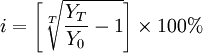
式中:
——预测对象在未来第L期的预测值;
- Y0,YT——分别表示预测变量在统计期初和统计期末的统计值;
- i——预测变量在统计期内的平均增长率;
- T——统计期包含的时间期数(如5年);
- L——预测期离统计期末的时间(如三年)。
上述增长率的关键是确定增长速度i。该预测方法一般用于增长率变化不大,或预计过去的增长趋势在预测期内仍将继续的场合。
免责声明:本内容来源于第三方作者授权、网友推荐或互联网整理,旨在为广大用户提供学习与参考之用。所有文本和图片版权归原创网站或作者本人所有,其观点并不代表本站立场。如有任何版权侵犯或转载不当之情况,请您通过400-62-96871或关注我们的公众号与我们取得联系,我们将尽快进行相关处理与修改。感谢您的理解与支持!







请先 登录后发表评论 ~