自回归预测法
什么是自回归预测法[1]
自回归预测法是指利用预测目标的历史时间数列在不同时期取值之间存在的依存关系(即自身相关),建立起回归方程进行预测。具体说,就是用一个变量的时间数列作为因变量数列,用同一变量向过去推移若干期的时间数列作自变量数列,分析一个因变量数列和另一个或多个自变量数列之间的相关关系,建立回归方程进行预测。
自回归预测法的步骤[1]
自回归预测的步骤如下:
一、确定自相关数列
根据预测目的和要求,对预测目标的时间数列资料(月、季、年度)加以整理,使之具有可比性,并将这些数列划分为因变量和自变量数列。
因变量数列的期限(即项数),可以根据时间数列所反映周期变动规律确定。自变量数列,可用原时间数列向后逐期推移取得,它的期数必须同因变量数列相同。
二、确定回归模型
计算各个自变量数列的自相关系数,自相关系数的计算方法同一般相关系数的计算方法相同。根据自相关系数的大小,确定自变量,即选择自相关系数较大的自变量数列,用以拟合回归模型。自回归模型可以是线性的,也可以是非线性的;如果自回归模型中只有一个自变量,称为一阶(一元)自回归模型;有两个自变量,称为二阶(二元)自回归模型。经济预测中,一般用向后推移一期或两期的一阶(元)线性自身回归。因为二阶(元)以上的自身回归计算复杂,并不能提高顶测准确度,用处不大。
三、估计参数,利用模型预测
模型参数值的求法,与其它回归模型的参数求法一样。预测期的自变量,就是自变量数列的下一期数值,在原时间数列中可以找到,用于进行预测。对预测值的可靠性检验,数列中可以找到,用于进行预测。对预测值的可靠性检验,也与其它回归模型相同。
自回归预测法的优缺点[2]
自回归预测法的优点是所需资料不多,可用自变量数列来进行预测。但是这种方法受到一定的限制,即必须具有自相关。这种方法只能适用于须阅某些具有时闻序列趋势相关的经济现象,即受历史因素影响较大的经济现象,如各种开采量,各种自然产量等。对于受社会因素影响较大的经济现象,不宜采用这种方法。
自回归预测法的实例分析[1]
某矿井某年各月煤产量如下页表所示。
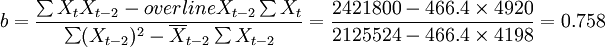
根据各月煤产量,用错后二期求自身回归,选第一元线性回归方程:Y=a+bx,可以最小平方法求参数值。
一元线性自身回归预测方程为:
预测第12月,第二年1月份的产量
(万吨)、(12月份)
(万吨)、(第二年1月份)
这种方法优点是所需资料不多,可用自身变量数列来进行预测。但是这种方法受到一定的限制,即必须具有自相关,自相关系数是关键。这种方法只能适用于预测某些具有时间序列趋势相关的经济现象,即受历史因素影响较大的经济现象,如各种开采量,各种自然产量等,对于受社会因素影响较大的经济现象,不宜采用这种方法。
这种方法可以在编制可行性研究,财务计划,销售计划中应用。
审计人员主要应掌握这种方法的适用性,同时要缩短统计检验(R检验)。如果自相关系数(R)小于0.5,则不直采用,否则,预测结果受到影响。
参考文献
免责声明:本内容来源于第三方作者授权、网友推荐或互联网整理,旨在为广大用户提供学习与参考之用。所有文本和图片版权归原创网站或作者本人所有,其观点并不代表本站立场。如有任何版权侵犯或转载不当之情况,请您通过400-62-96871或关注我们的公众号与我们取得联系,我们将尽快进行相关处理与修改。感谢您的理解与支持!







请先 登录后发表评论 ~