多阶段抽样
多级抽样(multi-stage sampling)、多阶段抽样(multi-level. sampling)、套抽样(cascade sampling 或nested sampling)
什么是多阶段抽样
多阶段抽样,也称为多级抽样、多阶抽样、套抽样,是指在抽取样本时,分为两个及两个以上的阶段从总体中抽取样本的一种抽样调查方法。
多阶段抽样的应用
当我们面对的总体单元数很庞大,而且分布范围很广时,如果使用前面所学习的单阶抽样方法,不仅工作量大,而且在精度上很难把握,此时如果改用多阶段抽样方法,就会避免上述困难,从而达到理想的抽样效果。
多阶段抽样具体操作过程是:
第一阶段,将总体分为若干个一级抽样单位,从中抽选若干个一级抽样单位入样;
第二阶段,将入样的每个一级单位分成若干个二级抽样单位,从入样的每个一级单位中各抽选若干个二级抽样单位入样……,依此类推,直到获得最终样本。
关于多阶段抽样的具体描述
如果我们面对的一阶单元内总体基本单元数相当大,作全面的调查就会比较困难,或者一阶单元内各二阶单元可以给出相近的结果,作全面的调查又无必要。此时从费用和抽样估计效率考虑,便可以从总体中随机抽取一部分一阶单元,然后再从被抽中的一阶单元内,随机抽取部分二阶单元并对他们作全面调查,我们把这种抽样技术称为两阶抽样。
如果在被抽中的二阶单元中,再抽取部分三阶单元组成样本,并对抽中的三阶单元进行全面的调查,这就是三阶抽样。类似地,可以定义四阶抽样或更高阶的抽样,通常将两阶以上的抽样称为多阶段抽样。
需要指出的是,多阶段抽样中,各阶可以采用不同的抽样方法,也可采用同一种抽样方法,要视具体情况和要求而定。
在两阶抽样中,总体各一阶单元所包含的二阶单元数,有相等和不相等的两种情况。前者无论在样本的抽取还是在指标的估算方面都相对比较简单,然而在抽样实践中却很少有这种情况的存在,但作为基本方法仍然有其实际意义;后种情况在抽样和指标的估算方法上都较为复杂,然而在实际中普遍存在此种情况。
多阶抽样与分层抽样和整群抽样的关系
多阶段抽样区别于分层抽样,也区别于整群抽样,其优点在于适用于抽样调查的面特别广,没有一个包括所有总体单位的抽样框,或总体范围太大,无法直接抽取样本等情况,可以相对节省调查费用。其主要缺点是抽样时较为麻烦,而且从样本对总体的估计比较复杂。
将总体分为若干个一阶单元,如果在每一个一阶单元中,都随机抽取部分二阶单元,由这些二阶单元中的总体基本单元组成的样本,在抽样的方式上,就相当于分层抽样;如果在全部的一阶单元中,只抽取了部分一阶单元,并对抽中的一阶单元中的所有的基本单元都做全面调查,这就是整群抽样。
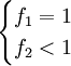
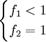
因此,分层抽样实际是第一阶抽样比为100%时的一种特殊的两阶抽样;而整群抽样实际上是第二阶抽样比为100%时的一种特殊的两阶抽样,故也称单级整群抽样。令fi为抽样比,即有:
当
时,二阶抽样可视为分层抽样,当
时,二阶抽样可视为整层抽样。
多阶抽样与分层抽样的主要区别在于:
一、分层抽样是对总体中的每个一级样本群体进行全面入样,再对所有的样本进行抽查;而两阶抽样则把总体中所有的群体视为一阶单元,对这些一阶单元进行抽样,将抽出的样本再次进行抽样(两次都不是进行全面的调查),产生两级样本,最后综合估算出总的一级样本指标。
二、整群抽样是对总体中抽取的每个样本群体所包含的基本单元进行全面调查;而两阶抽样则把总体中所有的群体视为一阶单元,对每一个被抽中的一阶单元所包含的二级单元(即基本单位),不是进行全面的调查,而是再进行一次抽样调查(也称抽子样本)。即两阶抽样,产生两级样本,最后综合估算出总的一级样本指标。至于在综合估算的方式方法上,两阶抽样与整群抽样也是极其相似的,只不过前者为就被抽一级单元的样本指标进行综合估算,后者为就被抽样群体单元的全体指标进行综合估算。
多阶段抽样的特征
(一) 便于组织抽样。
当总体单元数目很大,分布很广时,若采用简单随机抽样,那么,编制全体总体单元的抽样框和现场实施随机抽样,都是相当困难的;如果采用等距抽样,则须将全部总体单元进行有序排列并等
距抽取,也是很困难的;若采用分层抽样。则为提高抽样估计效率,需掌握全部总体单元的有关资料,按照分层的原则进行分层,然后到各层中去抽样,这一分层和大范围抽样的工作,是很繁重的;若采用单级整群抽样,也需掌握全部总体单元的有关资料,按分群的原则分群,并在抽中的群内作全面调查,这一分群和在群内做全面调查的工作也是很庞大的。
例如,我国有一亿八千万农户,为做农村住户调查,如果按上述几种方式进行抽样,其工作量之大是难以想象的。
若采用多阶段抽样,就可避免上述抽样技术中的麻烦。它可按现有的现有的行政区域或地理区域划分为各阶抽样单元,从而简化抽样框的编制便于样本单元的抽取使整个抽样调查的组织工作容易进行。多阶段抽样既保持了单级整群抽样的优点,又克服了他的缺点。
(二)抽样方式灵活,有利于提高抽样的估计效率。
多阶段抽样中,各阶段可以采用同一种抽样方法,也可以根据各阶单元的分布情况,采用不同的抽样方法。同时,还可以根据各阶单元分布情况的不同,安排不同的抽样比。
(三)多阶段抽样对基本调查单元的抽选不是一步到位的。
至少要经过两步抽样,这也是多阶段抽样与单阶抽样的区别所。
在。因此,多阶段抽样的随机性体现在每一阶单元的抽选上。而在各阶段可以充分利用辅助信息来增加效率。但由于在现实中,各阶单元大小相等的情形又几乎是不存在,所以对于各阶单元大小不等的多阶段抽样,如何保证每个基本单元都有相同的可能性被抽中,是一个较为复杂的问题,有待进一步探讨。
(四)多阶段抽样实质上是分层抽样与整群抽样的有机结合。
以两阶段抽样为例,从总体上所有一阶单元中抽取一部分单元,相当于从总体所有群中抽取部分群的整群抽样;而在每个抽中的一阶单元中分别抽取部分二阶单元,就相当于分层抽样。即先整群,后分层。因此,二阶抽样从技术上看是整群抽样与分层抽样的综合。
(五)多阶段抽样在抽样时并不需要二阶或更低阶单元的抽样框。
对于第一阶抽样,初级单元的抽样框是必要的。在以后的各阶抽样中,仅仅需对那些已抽中的单元准备下一级单元的抽样框。
(六)多阶段抽样还可用于“散料”的抽样,即散料抽样。
所谓“散料”,是指连续松散的、不易区分的个体或抽样单元的材料。例如一堆煤,一车水泥等。对于散料,抽样单元可以人为划分,也可以取其自然的单位。进行散料抽样时,一级单元是自然或人为划分的分装(例如一袋水泥),二级单元则是从分装中抽取一定数量(如一千克)的份样作调查。
免责声明:本内容来源于第三方作者授权、网友推荐或互联网整理,旨在为广大用户提供学习与参考之用。所有文本和图片版权归原创网站或作者本人所有,其观点并不代表本站立场。如有任何版权侵犯或转载不当之情况,请您通过400-62-96871或关注我们的公众号与我们取得联系,我们将尽快进行相关处理与修改。感谢您的理解与支持!







请先 登录后发表评论 ~