分层抽样
分层抽样(stratified sampling)
什么是分层抽样
分层抽样,也叫类型抽样。就是将总体单位按其属性特征分成若干类型或层,然后在类型或层中随机抽取样本单位。
分层抽样的特点
分层抽样的特点是:由于通过划类分层,增大了各类型中单位间的共同性,容易抽出具有代表性的调查样本。该方法适用于总体情况复杂,各单位之间差异较大,单位较多的情况。
各层样本数的确定方法
各层样本数的确定方法有3种:
①分层定比。即各层样本数与该层总体数的比值相等。例如,样本大小n=50,总体N=500,则n/N=0.1 即为样本比例,每层均按这个比例确定该层样本数。
②奈曼法。即各层应抽样本数与该层总体数及其标准差的积成正比。
③非比例分配法。当某个层次包含的个案数在总体中所占比例太小时,为使该层的特征在样本中得到足够的反映,可人为地适当增加该层样本数在总体样本中的比例。但这样做会增加推论的复杂性。
分层抽样的应用
总体中赖以进行分层的变量为分层变量,理想的分层变量是调查中要加以测量的变量或与其高度相关的变量。分层的原则是增加层内的同质性和层间的异质性。常见的分层变量有性别、年龄、教育、职业等。分层随机抽样在实际抽样调查中广泛使用,在同样样本容量的情况下,它比纯随机抽样的精度高,此外管理方便,费用少,效度高。
多阶抽样与分层抽样和整群抽样的关系
多阶段抽样区别于分层抽样,其优点在于适用于抽样调查的面特别广,没有一个包括所有总体单位的抽样框,或总体范围太大,无法直接抽取样本等情况,可以相对节省调查费用。其主要缺点是抽样时较为麻烦,而且从样本对总体的估计比较复杂。
将总体分为若干个一阶单元,如果在每一个一阶单元中,都随机抽取部分二阶单元,由这些二阶单元中的总体基本单元组成的样本,在抽样的方式上,就相当于分层抽样;如果在全部的一阶单元中,只抽取了部分一阶单元,并对抽中的一阶单元中的所有的基本单元都做全面调查,这就是整群抽样。
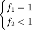
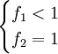
因此,分层抽样实际是第一阶抽样比为100%时的一种特殊的两阶抽样;而整群抽样实际上是第二阶抽样比为100%时的一种特殊的两阶抽样,故也称单级整群抽样。令fi为抽样比,即有:
当
时,二阶抽样可视为分层抽样,当
时,二阶抽样可视为整层抽样。
多阶抽样与分层抽样的主要区别在于:
一、分层抽样是对总体中的每个一级样本群体进行全面入样,再对所有的样本进行抽查;而两阶抽样则把总体中所有的群体视为一阶单元,对这些一阶单元进行抽样,将抽出的样本再次进行抽样(两次都不是进行全面的调查),产生两级样本,最后综合估算出总的一级样本指标。
二、整群抽样是对总体中抽取的每个样本群体所包含的基本单元进行全面调查;而两阶抽样则把总体中所有的群体视为一阶单元,对每一个被抽中的一阶单元所包含的二级单元(即基本单位),不是进行全面的调查,而是再进行一次抽样调查(也称抽子样本)。即两阶抽样,产生两级样本,最后综合估算出总的一级样本指标。至于在综合估算的方式方法上,两阶抽样与整群抽样也是极其相似的,只不过前者为就被抽一级单元的样本指标进行综合估算,后者为就被抽样群体单元的全体指标进行综合估算。
免责声明:本内容来源于第三方作者授权、网友推荐或互联网整理,旨在为广大用户提供学习与参考之用。所有文本和图片版权归原创网站或作者本人所有,其观点并不代表本站立场。如有任何版权侵犯或转载不当之情况,请您通过400-62-96871或关注我们的公众号与我们取得联系,我们将尽快进行相关处理与修改。感谢您的理解与支持!







请先 登录后发表评论 ~