双重抽样
双重抽样(Double Sampling)
什么是双重抽样
双重抽样,又称二重抽样、复式抽样,相关抽样法。是指在抽样时分两次抽取样本的一种抽样方式。
双重抽双重抽样的主要作用是提高抽样效率、节约调查经费。
双重抽样的应用
双重抽其具体步骤为:
首先抽取一个初步样本,并搜取一些简单项目以获得有关总体的信息;
然后,在此基础上再进行深入抽样。在实际运用中,双重抽样可以推广为多重抽样。
做一次随机抽样,调查y 和x两种性状,从中求出y 依x 的回归方程。这个样本容量 n 不一定很大,但希望x 和y 有较大的幅度。
如:若所要调查的性状y是不易观察测定,甚至对观察材料要破坏后方能测定的,而试验又不容许将材料破坏,这时可以利用和所要调查的性状有密切相关关系的另一便于测定的性状x进行间接的抽样调查,按确定的相关关系从x的调查结果推算y 的结果。
或
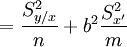
对总体进行x的抽样调查,设样本容量为m,按以上建立的回归关系从
推算
的标准为
的近似式:
采用双重抽样法,必须注意 y 和 x 两性状间不但要有显著相关,而且须有高程度显著相关,才能获得比较准确的结果,所以在建立回归方程时要检验其相关系数的大小及显著性。
免责声明:本内容来源于第三方作者授权、网友推荐或互联网整理,旨在为广大用户提供学习与参考之用。所有文本和图片版权归原创网站或作者本人所有,其观点并不代表本站立场。如有任何版权侵犯或转载不当之情况,请您通过400-62-96871或关注我们的公众号与我们取得联系,我们将尽快进行相关处理与修改。感谢您的理解与支持!







请先 登录后发表评论 ~