集体意见法
什么是集体意见法
集体意见法是把预测者的个人预测通过加权平均而汇集成集体预测的方法。
集体意见法的程序[1]
(1)要求每一位预测者就预测结果的最高限、最低限和最可能的值加以判断,并对这三种情况出现的概率进行估计。例如,第i位预测者得出的预测结果如下:最高限为F1i,其出现的概率为P1i;最可能的值为F2i,其出现的概率为P2i;最低限为F3i,其出现的概率为P3i。
(2)根据预测者对预测结果最高限、最可能值和最低限的估计以及对三种情况出现的概率的估计,计算每一位预测者的意见平均值Fi,其计算公式为:
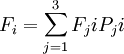
(3)根据每位预测者个人意见的重要程度Wi,通过加权平均,得出集体的意见F,其计算公式为:
式中,n表示预测者人数。
集体意见法实例 [1]
某港区现有泊位不敷使用,计划扩建。为对该项目进行可行性研究,需对未来的运量进行预测。预测采用集体意见法进行,其具体过程如下。
( 1 )明确问题。要求预测该港今后第五年的日均货船吞吐量。
(2)组织专家进行预测。组织了甲、乙、丙3 位专家,要求3 位专家对该港口今后第五年的最高、最可能和最低日均货船吞吐量进行估计,并对这3 种情况出现的概率进行估计。
( 3 )集思广益。在整个预测过程中,每一轮调查都将上一轮的许多意见与信息进行汇总和反馈,这样可以使专家们在背靠背的情况下,能充分了解各方面的客观情况和其他专家的意见,从而有助于专家们开拓思路、集思广益。
参考文献
免责声明:本内容来源于第三方作者授权、网友推荐或互联网整理,旨在为广大用户提供学习与参考之用。所有文本和图片版权归原创网站或作者本人所有,其观点并不代表本站立场。如有任何版权侵犯或转载不当之情况,请您通过400-62-96871或关注我们的公众号与我们取得联系,我们将尽快进行相关处理与修改。感谢您的理解与支持!







请先 登录后发表评论 ~