灰关联测评
什么是灰关联测评法[1]
灰关联测评法即应用灰色系统理论测评不同并购方案的风险程度。
灰关联测评主要指标[2]
灰关联分析主要借助于灰关联系数和灰关联度进行。灰关联度是表征两个灰色系统之间相似性的一种指标。设有两个数列,(t=1,2,…,n)在t=k时刻,其问的灰关联度定义为:
(1)
其中
为灰关联系数,可用下式计算:
(2)
表示k时刻两个数列的绝对差。即
(3)
Δmin,Δmax分别为各个时刻的绝对差中的最大值与最小值,一般Δmin=0;ρ为分辨系数,0<ρ<1,一般取ρ=0.5。
灰关联测评分析原理[2]
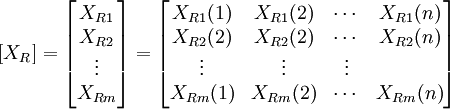
设有m种并购方案可供选择,每种并购方案由n个风险因子构成一个特征向量,这m个风险特征向量构成一个并购方案的风险特征矩阵:
(4)
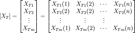
其中,XRj(t)表示第j个并购方案中的第t个风险因子作用的概率,具体数值由与并购相关的专家估算。然后,以此为基础设立待检向量矩阵:
(5)
这里,每个特征向量都代表一种并购方案,而待检数据应当根据实际需要、并在专家估算的基础上计算得出。设第j个待检方案(既需要通过灰关联分析检验的并购方案)的向量为{XTj}(j=1,2,…,n),其组成元素XTj(t)(t=1,2,…,n)表示第i个待检并购方案中的第t个风险因子的影响值。通过与并购风险方案向量{XTj}(j=1,2,…,m)之间的关联度的计算,可以得到关联度序列。关联系数表示并购方案与并购风险之间的密切程度,关联系数越大,说明该方案的并购风险越高。把上述关联度序列按系数从大到小依次排列,则提供了并购方案按风险大小排列的顺序,为并购风险决策提供了依据。
灰关联测评的步骤[1]
运用灰关联法测评企业并购过程中的风险,通常需要以下步骤:
(1)设立并购风险向量。企业并购过程中有多个风险因子。在不同的并购方案中,同一风险因子的影响不尽相同,其权重也会有所变化。设T为企业并购风险事件,Ki(i=1,2,…,m)为可供选择的并购方案,Xt(t=1,2,…,n)为影响企业并购效果的风险因子,则企业并购风险的函数可表示为Φ(X)=Φ (X1,X2,…,Xn)。式中,Xt具体取值为各并购风险因子作用的概率。
(2)构建并购风险矩阵。为方便分析,我们设定一个风险临界点L,当X_t>L时,X_t取为“1”;当X_t<L时,X_t取为“0”,其结构函数可以表示为
这样,由m个并购方案就构成了一个典型的风险特征矩阵:
(6)
(3)组建待检向量。为了准确评价影响企业并购效果的m种并购风险方案,可以从风险因子Xt(t=1,2,…,n)的重要度入手加以分析。不同的风险因子,对企业并购效果的影响程度是不相同的,亦即其权重不尽相同。为量化方便,可将其定义为该风险因子对企业并购风险的影响程度。在实际应用中,可以采用专家评判法量化各风险因子Xt(t=1,2,…,n)的重要度。数学表达式为
,
[1,n]式中,N表示专家数量;Xn表示第T个专家对第t个风险因子的评判值;
| 表示所有专家对第t个风险因子评判值的总和。 |
这样,n个风险因子按其重要度就组成了一组待检数据{Xs}:
Xs=(Xs(1),Xs(2),…,Xs(n))=(W1,W2,…,Wn)
(4)计算灰关联系数和灰关联度。按照灰关联度及灰关联系数的计算公式,计算{Xs}与风险特征向量TKi(i=1,2,…,m)之间的灰关联度,可以得出关联度序列。把关联度从大到小依次排列,即可选出相应的风险方案。
灰关联测评的应用范围[1]
与模糊测评法一样,应用灰关联测评法可以量化测评企业并购风险。在企业决定实施并购战略,并通过风险识别初步选出两个或两个以上的候选目标企业时,运用灰关联法测评其并购风险,有助于在两者之间做出进一步的选择。对同一个目标企业并购时,若有不同的备选方案供选择,可以应用灰关联法测评其并购风险,并从中选择最优方案。如果并购专家按照一定的方法,通过分析和论证能够识别出并购中的主要风险因子,并采取专家调查等方法对其不确定性进行统计估测,即可通过灰关联法测评其并购风险。但灰关联测评法不能精确地计量企业并购过程中的风险。
灰关联测评的案例[1]
以家电制造企业H集团公司为例,比较灰关联测评法与模糊测评法在测量企业并购风险中的异同。
1.背景材料
H集团公司是一家著名的家电制造企业,所在的家电行业市场竞争激烈,规模经济效益显著。H集团公司的产品研发、企业管理,尤其是市场营销在行业中处于前列。公司拟通过资本市场的运作,进一步扩大市场份额,提高市场占有率。通过前期市场调研,初步认定甲、乙、丙三家企业符合本公司的发展战略,欲实施并购。其中,甲企业与H集团公司处于同一地区,企业内部管理的缺陷较多,可以获得的资料不齐全,市场知名度低,企业负债率低;乙企业与H集团公司相距较近,企业负债率达到92%,涉及的多起法律纠纷;丙企业与H集团公司分别处于不同的区域,在当地有一定的知名度,两家企业的产品品种和性能之间存在明显的差异,产品与市场之间有显著的互补性,负债率为79%,有售后质量赔偿合同。同时,经过初步接洽,甲、乙、丙三家企业也均有融人H集团公司的意向,故将三家企业作为候选目标企业。经过有关专家深入分析,并购三家企业主要存在市场风险、信息风险、法律风险、产业风险、整合风险和财务风险,各风险因子的重要度值如表1表示。同时,专家建议六个风险因子在三种并购方案中的权重如表2所示。
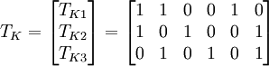
(1)给出典型风险特征矩阵。由题意可知影响企业并购效果的风险因子为6个,即n=6。我们设定风险概率值的临界点L=0.2,根据式(6),可以求出风险特征矩阵:
(2)给出待检方案向量。根据题中给出的风险因子重要度值,可以得出待检方案向量:
Xs=(W1,W2,…,W6)={0.285,0.162,0.030,0.098,0.265,0.160)
(3)计算关联度。以Xs={0.285,0.162,0.030,0.098,0.265,0.160)为分母因子,TKi(i-1,2,3)为分子因子。
- 第一步,对(Ks)作初始化处理:
=(1,0.568,0.105,0.344,0.930,0.561)。
TKl=(1,l,0,0,1,O),TK2=(1,0,1,0,0,1),TK3=(O,1,0,1,0,1)。
- 第二步,计算差序列:
由上式可知,ΔsKi(t)=|Xs(t)-TKi(t)| i=1,2,3;t=1,2,3,4,5,6。
ΔsK1=(O,0.432,0.105,0.344,0.070,0.561);
ΔsK2=(O,0.568,0.895,0.344,0.930,0.439);
ΔsK3=(1,0.432,0.105,0.656,0.930,0.439)。
- 第三步,求两级最大差和最小差:
maxt|Xs(t)-TKl(t)|=0.561;
maxt|Xs(t)-TK2(t)|=0.930;
maxt|Xs(t)-TK3(t)|=1;
所以Δmix = maximaxi | Xs(t) − TKi(t) | = 1,Δmin=0
- 第四步,计算关联系数:
取ρ=0.5,依式(2)求得表3。
由式
可得表4:
因为0.717>0.550>0.502,则TKi对Xs的关联度为:rs1>rs2>rs3
(4)结论。由此可知,在H集团分别对甲、乙、丙三个企业的并购方案中,并购风险从高到低排列的顺序依次为:方案1、方案2、方案3,亦即方案3中的并购风险最低。
相关条目
- 模糊测评
参考文献
免责声明:本内容来源于第三方作者授权、网友推荐或互联网整理,旨在为广大用户提供学习与参考之用。所有文本和图片版权归原创网站或作者本人所有,其观点并不代表本站立场。如有任何版权侵犯或转载不当之情况,请您通过400-62-96871或关注我们的公众号与我们取得联系,我们将尽快进行相关处理与修改。感谢您的理解与支持!







请先 登录后发表评论 ~