建设投资借款利息
什么是建设投资借款利息
建设投资借款利息是指建设单位借入的基建投资借款和周转借款所发生的按规定应计入交付使用资产价值的借款利息,包括使用部门统借统还基建基金借款发生的资金占用费。
建设期的借款利息,应按规定全部分摊计人交付使用资产价值;建设项目建成投产后还款期间发生的借款利息,不计入交付使用资产的价值。建设单位支用的借款未按规定用途使用,挤占挪用部分的罚息支出和不按期归还借款而加付的利息,按规定应由建设单位留成收入支付,不在本科目核算;建设单位实现的贷转存利息收入,应冲减待摊投资。
建设投资借款利息的计算
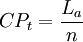
建设投资借款利息=生产经营期借款利息-流动资金借款利息
建设投资借款利息计算方式有:
(1)等额利息法:每期等额付息,期末还本。
,
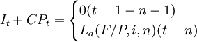
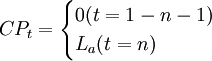
(2)等额本金法:每期等额还本并付相应利息。
,
(t = 1 − n)
(3)等额摊还法:每期等额偿还本利。
It + CPt = La(A / P,i,n)
(t = 1 − n)
(4)一次性偿付法:期末一次偿还本利。
(5)量入偿付法(“气球法”):任意偿还本利,到期末全部还清。
在以上建设投资借款的还本付息方式中,最常用的是量入偿付法。对于量入偿付法,建设投资借款在生产期发生的利息计算公式为:
每年支付利息=年初本金累计额×年利率
为简化计算,还款当年按年末偿还,全年计息。
免责声明:本内容来源于第三方作者授权、网友推荐或互联网整理,旨在为广大用户提供学习与参考之用。所有文本和图片版权归原创网站或作者本人所有,其观点并不代表本站立场。如有任何版权侵犯或转载不当之情况,请您通过400-62-96871或关注我们的公众号与我们取得联系,我们将尽快进行相关处理与修改。感谢您的理解与支持!







请先 登录后发表评论 ~