建设期利息
什么是建设期利息
建设期利息是指工程项目在建设期间内发生并计入固定资产的利息,主要是建设期发生的支付银行贷款、出口信贷、债券等的借款利息和融资费用。
建设期利息包括向国内银行和其他非银行金融机构贷款、出口信贷、外国政府贷款、国际商业银行贷款以及在境内外发行的债券等在建设期间内应偿还的借款利息。当总贷款是分年均衡发放时,建设期利息的计算可按当年借款在年中支用考虑,即当年贷款按半年计算,上年贷款按全年计算。
建设期利息的计算 [1]
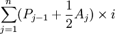
建设期利息的计算公式为
式中:
Q——建设期应计利息;
Pj − 1——建设期第j-1年末贷款累计金额与利息累计金额之和;
Ai——建设期第j年贷款金额;
i——年利率。
国外贷款利息的计算中,还应包括国外贷款银行根据贷款协议向贷款方以年利率的方式收取的手续费、管理费、承诺费,以及国内代理机构经国家主管部门批准的以年利率的方式向贷款单位收取的转贷费、担保费、管理费等。
【例1】
某新建项目,建设期为3年,分年均衡进行贷款,第一年贷款300万元,第二年贷款600万元,第三年贷款400万元,年利率为12%,建设期内利息只计息不支付,试计算建设期贷款利息。
【解:】
在建设期,各年利息计算如下:
(万元)
(万元)
(万元)
所以,建设期贷款利息Q = Q1 + Q2 + Q3 = 18 + 74.16 + 143.06 = 235.22(万元)。
参考文献
- ↑ 周述发.建筑工程造价管理.武汉理工大学出版社,2010.06.
免责声明:本内容来源于第三方作者授权、网友推荐或互联网整理,旨在为广大用户提供学习与参考之用。所有文本和图片版权归原创网站或作者本人所有,其观点并不代表本站立场。如有任何版权侵犯或转载不当之情况,请您通过400-62-96871或关注我们的公众号与我们取得联系,我们将尽快进行相关处理与修改。感谢您的理解与支持!







请先 登录后发表评论 ~