相互回报心理
什么是相互回报心理
相互回报心理也叫相互回报行为,是指喜欢那些他自认为喜欢他的人,讨厌那些他自认为讨厌他的人。
例如,他知道你关心他,他也会关心你;他认为你打击他,他也会设法报复你等等。这种相互回报行为与中国流行的“你敬我一尺,我敬你一丈”,“受人滴水之恩,必当涌泉相报”等等十分相近。
相互回报心理的前提[1]
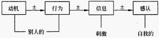
相互回报心理的前提是人们对于信息的感认。由于人们的行为是十分复杂的,人们透过信息对别人的动机和行为的感认,有时候可能正确,有时候又可能是错误的,如下图所示:
图中,3个
号并不一定是一致的。当行为反映动机时,通过信息所产生的感认,其正确性可能较大,否则,其出现错误的可能性较大。由于感认与他人动机的不一致性,以及对信息判断的着眼点(短期或长期)的差异性,因而在相互回报行为中,常会出现“一厢情愿”、“以怨报德”等例外现象。
相互回报心理的二重性
相互回报心理具有二重性。
一方面,积极的相互回报行为有助于人们相互关心、相互爱护、相互帮助、相互支持,有助于领导班子的团结和人际关系的和谐。另一方面,我们应对消极的相互回报行为予以警惕。
参考文献
- ↑ 张德.《人力资源开发与管理》[M].清华大学出版社,2001
免责声明:本内容来源于第三方作者授权、网友推荐或互联网整理,旨在为广大用户提供学习与参考之用。所有文本和图片版权归原创网站或作者本人所有,其观点并不代表本站立场。如有任何版权侵犯或转载不当之情况,请您通过400-62-96871或关注我们的公众号与我们取得联系,我们将尽快进行相关处理与修改。感谢您的理解与支持!







请先 登录后发表评论 ~