保证金实际维持率
什么是保证金实际维持率
保证金实际维持率是指客户剩余的保证金(帐面上的)占其所购股票当时市价总值的百分比。
保证金实际维持率的计算 [1]
如果A君采用保证金买进方式,用2.4万元的本金,按50元的价格买进甲公司股票960股之后,股价不是上涨,而是下跌,A君就要遭受较大的损失。与此相应,A君在经纪人处的保证金绝对数额和相对数也都下降了。比如,甲公司股票下跌20%,每股跌到40元。这时,A君买进股票的市价总值为3.84万元(960×40),去掉经纪人的垫款2.4万元,剩下1.44万元,占市价总值3.84万元的37.5%。这就是说,由于股价下跌20%,A君交纳的保证金绝对数由原来的2.4万元减到1.44万元;相对数由初始的50%降到37.5%。这个37.5%就是A君的保证金实际维持率。如果股价再跌,A君的保证金实际维持率还将降低。为了贷款安全起见,各交易所或经纪人对保证金实际维持率都有最低规定标准(如纽约证券交易所为25%)。低于最低标准时,经纪人就要向客户提出增补保证金的要求。
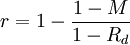
保证金实际维持率可按下式计算:
………………①
式中:r——保证金实际维持率
M——保证金率
Rd——股价下跌率
从上式可以看出,r与客户本金的多少和股票价格无关,它是取决于保证金率和股价的相对变化。例如:若A君有本金5万元,而不是2.4万元,甲公司股价为100元,而不是50元:保证金率仍为50%。这时,A君可购进1000股,总值10万元。如果股价下跌20%,每股80元,A君买进的股票市价总值为8万元。去掉经纪人垫款5万元,只剩保证金3万元,占股票市价总值8万元的37.5%。这和前面的结果相同。用①式计算亦有同样结果:
在交易所和经纪人都对保证金实际维持率有一定要求的情况下,股票价格下跌到什么程度,经纪人就会提出增补保证金的要求呢?由①式可得:
……………………②
假定交易所或经纪人规定的保证金率为50%,保证金实际维持率不得低于30%,由②可求出:
此即,当股票下跌超过28.57%时,经纪人就要向客户发出增加保证金的要求。如果客户对股票价格在短期内回升不抱希望,他可让经纪人卖掉保证金买进的股票,还清垫款:如果客户对股票价格在短期内回升抱有希望,就必须向经纪人增交保证金,使其实际维持率不低于最低标准。如果客户买的不是一种而是几种股票,经纪人在分别计算它们的保证金维持率的同时,会允许。以丰补欠”。只有总的保证金维持率低于规定标准时,经纪人才向客户提出增加保证金的要求。
参考文献
- ↑ 金明伟.彭淑珍.证券基础知识.企业管理出版社,1992年09月第1版.
免责声明:本内容来源于第三方作者授权、网友推荐或互联网整理,旨在为广大用户提供学习与参考之用。所有文本和图片版权归原创网站或作者本人所有,其观点并不代表本站立场。如有任何版权侵犯或转载不当之情况,请您通过400-62-96871或关注我们的公众号与我们取得联系,我们将尽快进行相关处理与修改。感谢您的理解与支持!







请先 登录后发表评论 ~