商品出口竞争能力系数
什么是商品出口竞争能力系数[1]
商品出口竞争能力系数是指反映出口商品在国际市场上,与同类商品相比其竞争能力强弱的。
商品出口竞争能力系数应用[1]
如果我出口商品A和竞争商品B的经济效益为已知值。则我出口商品的竞争能力值用公式表示为:
若我出口商品A与N个竞争商品对比,其竞争能力系数,可以用以下公式表示:
式中:n——与A商品竞争的商品数,
Ei——与第i个竞争商品相比的经济效益;
——几个竞争商品的经济效益平均值。
因为A、B两商品的E值相比,可得到商品A的竞争能力系数:
。
又因为:E=Y/C,所以
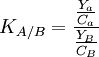
式中:KA / B——商品A对商品B的竞争能力系数;
E——原料买主的经济效益,
EA、EB——分别为A、B两商品的买主经济效益;
CA、CB——分别为A、B两商品的使用价格(即产品的总成本);
Y——销售价格(制成品);
C——使用价格(产品的总成本);
YA、YB——分别为A、B两商品单位用料的加工产品的销售收益(或几种产品及综合利用的产品的收益合计)。
当两种竞争原料的加工产品的销售收益相等时,即YA = YB时,其竞争能力系数可以化简为:
公式表明,此时的竞争能力系数与使用价格成反比,即与产品的总成本成反比。
当价格的需求弹性很小,或当原料价格在使用价格中所占比重不大时,价格竞争的效果就大为缩小,甚至起反作用。在测定竞争能力系数时,还要注意汇率变化对使用价格和辽值的影响。正确选择支付货币和合同货币,有利于提高商品的竞争能力和制成品的销售效益。因为从合同签订到交货付款这段时间,支付货币汇率对买方国货币汇率的下降,相当于卖主向买主提供价格折扣,此时供货人可在竞争中比用硬通货结算的卖主占有优势地位。
在实际工作中,我们不可能掌握K值和E值的全部参数值,当现有定量资料不完整时,未知参数可借助专家经验评定来推算出有关参数的数值。当对未知参数的评价发生困难时,在计算时可假定不能用货币计量的参数都相同。
商品在世界市场上的竞争能力是由各种因素决定的,竞争能力强的商品一般是有以下条件:商品质量好(如经济技术参数高、款式包装名牌销后服务优良);产品具有特色,适销性强;价格具有竞争性;生产成本低;企业规模大,具有规模经济效益和生产潜力;出口能力大,对国际市场有影响;供货及时稳定,合同履约率高、信誉好、流通渠道宽、销路广;有效的广告宣传;信息收集;传递性,行情预测准,等等。
参考文献
免责声明:本内容来源于第三方作者授权、网友推荐或互联网整理,旨在为广大用户提供学习与参考之用。所有文本和图片版权归原创网站或作者本人所有,其观点并不代表本站立场。如有任何版权侵犯或转载不当之情况,请您通过400-62-96871或关注我们的公众号与我们取得联系,我们将尽快进行相关处理与修改。感谢您的理解与支持!







请先 登录后发表评论 ~