货币政策乘数
什么是货币政策乘数
货币政策乘数是指当IS曲线不变或者说产品市场均衡情况不变时,实际货币供应量变化能使均衡收入变动多少。
货币政策乘数的公式[1]
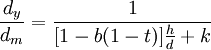
用公式表示是:
从式中可知,当b、t、h、k既定时,h越大,即货币需求对利率越敏感,亦即LM越平缓,则货币政策效果越小;而当其他参数既定时,d越大,即投资需求对利率越敏感,亦即IS曲线越平缓,则货币政策效果越大。同样,b、t、k的大小也会影响dy / dm的大小,即货币政策效果。
相关条目
- 财政政策乘数
参考文献
免责声明:本内容来源于第三方作者授权、网友推荐或互联网整理,旨在为广大用户提供学习与参考之用。所有文本和图片版权归原创网站或作者本人所有,其观点并不代表本站立场。如有任何版权侵犯或转载不当之情况,请您通过400-62-96871或关注我们的公众号与我们取得联系,我们将尽快进行相关处理与修改。感谢您的理解与支持!







请先 登录后发表评论 ~