城乡经济互动模式
城乡经济是市场经济系统的两极。探讨发展中国家城乡经济互动发展,不仅有助于提高经济运行质量,而且对加快城镇化步伐,有效发挥市场机制的良性作用都是很有意义的。
城乡经济互动的内涵
城乡经济互动是指在我国经济和社会发展的过程中,通过积极促进城乡人力、市场、信息、产业和文化等各种要素的流通,形成城乡之间全方位的沟通、联系、交流与互促机制,在城乡购买力全面提高的基础上逐步实现二者发展的动态平衡过程。
城市和农村作为不同类型的经济主体,存在着千丝万缕的联系。城市和乡村为了寻求自身的发展,必然会形成对资源、资金和人才的争夺,从而表现出城乡之间的一种对立和对抗。但是,随着社会经济的进一步发展,人们越来越发现不论是偏重城市还是农村的发展战略,都遇到了很多实际问题。农村地区的问题表现为诸如小生产与大市场,小规模经营与农业现代化,农业社会效益高与经济效益低等一系列矛盾。城市地区的问题则表现为市场容量有限,资源匮乏,土地稀缺与可持续发展的矛盾。必须认识到,这些问题的解决,绝不仅仅是城市或农村某个区域的发展所能完成的。诸如城市土地问题,农村劳动力转移问题,城乡市场问题,都必须通过城乡之间的相互作用才能得到切实的解决。城乡经济互动不是人的主观意识的产物,它是随着社会经济不断向前发展的必然结果,是社会经济发展到一定阶段的必然要求。
城乡经济互动的理论基础
建立社会主义市场经济体制是我国经济体制改革的目标,也是整个经济生活得以顺利进行的制度保障。对于城乡经济互动来说,市场作为整个经济生活的主体和核心是无处不在的,它同样会对城乡经济互动起决定性的影响作用。当前,城市和农村仍然是两个相对独立的主体,它们之间有联系的通道,却无法形成有机统一的整体。关键就在于,城市和农村之间缺乏统一的大市场来维系城乡作为一个整体的运行。这个问题在工业化初期可能并不突出,但是随着社会经济地不断发展,市场问题就显得越来越突出了。内需不足是我国现阶段经济所面临的问题,如果能顺利实现城乡经济互动发展,真正地形成城乡统一大市场,将会大大促进国内市场的发育,从而使一系列经济问题得到解决。明确了市场在城乡经济互动中的核心地位,还应该看到城乡经济互动的“发动机”——工业化和农村现代化。
农业是人类赖以生存的产业,没有农业提供人类生活的必需品,那么一切工业化的成果都只能是海市蜃楼。农村和农业的现代化,必然地会改变农村地区的现状,大大提高农村居民的生活水平,并且将有利于农村剩余劳动力的分离,为劳动力的转移提供可能。同时,随着农村和农业的现代化,市场经济的日益发达,农业产业化、商品化的趋势也必将为工业化的发展提供更有保障的原材料来源。农村市场也必将随着社会经济的发展而进一步得到开发,从而有利于城乡市场的融合,最终形成有机的统一大市场。
工业化是城市化的基础,也是城镇体系形成的动力源泉。随着工业化进程的推进,城市化率也将不断地提高,城镇体系也将在这一过程中不断地完善和发展。与此同时,工业化的进一步发展也会改善所在区域居民的生活水平,并最终实现城市经济从微观和宏观两个层次上的发展和完善。工业化对农村领域的影响同样是巨大的,工业化的发展会对农村、农业提出新的要求,集中地表现在对廉价的工业原料和廉价劳动力的需求上。因此,农村和农业的现代化与工业化之间是紧密联系的,谁都不能孤立地求生存、求发展。两者必须协调一致,形成一种有序的发展态势。
综上所述,无论是工业化,还是农业现代化,都需要解决一个市场问题。没有相应的市场消化工业化和农业现代化的成果,那么发展的努力可能会变成没有回报的付出。但是,市场并不是一个静态的等待发现的概念,而是一个动态的、发展的概念,它是需要培育和维护的。市场的基础是总人口和人均购买力(市场容量=总人口×人均购买力)。当前所说的市场,通常是指城市市场,而往往忽略了广大农村地区的市场。这种现象主要是因为农村在现阶段的人均购买力远远落后于城市,所以虽然有庞大的人口基数,但是在市场容量方面却往往处于不受重视的处境。这也使得城乡经济互动成为一种必要,尤其是我国正处于内需不足的时期,如果能通过城乡经济互动的方式带动农村经济的整体发展,提高农村的市场容量,有效地把城市市场和农村市场结合起来,真正形成城市和农村的统一大市场,将会大大加快我国现代化进程的发展。
城乡经济互动的均衡模型分析
下面从市场这个核心入手来进行分析:
市场容量=总人口×人均购买力
由于现实的市场容量更多的体现为人均收入水平与总人口的乘积,所以对于目前我国城乡差别现状,如果把市场容量分成城市和农村进行考察,则:
市场容量=城市居民人均收入水平×城市人口+农村居民人均收入水平×农村人口
从1952~1998年的全国数据来看,城市和农村居民的人均收入水平不是在缩小,相反地呈现出一种不断扩大的趋势。当前,农村居民的人均收入水平仅占城市居民人均收入水平的40%左右。这从一个侧面反应了,虽然当前整体经济运行的态势不错,但是城乡差别扩大的问题却越来越突出。而就全国的人均收入水平来看:
人均收入水平=城市居民人均收入水平×城市化率+农村居民人均收入水平×(1-城市化率)
根据对多年数据的分析,近年来,农村居民人均收入基本上处于占城市居民人均收入40%的水平,经过换算后:
全国人均收入水平=城市居民人均收入水平×(2/5+城市化率×3/5)
假设城市化率达到40%,那么人均收入水平仅相当于城市居民人均收入水平的64%,而当城市化率达到70%时,则人均收入水平相当于城市居民的82%。因此,围绕市场这个核心,可以看到,城市化是实现社会经济整体进步的一个有效途径。
事实上,以市场为核心,工业化和农村现代化为动力的城乡经济互动发展模式,在现实社会经济中所表现的主要是城乡之间的人流、物流、资金流的变化,而其中又以人流问题最重要,是一系列问题的关键所在。造成人员流动的根本原因是巨大的城乡差别,最能反应这一差别的就是城乡居民的人均收入差别。随着社会经济的不断进步,市场经济的不断完善,经济要素的流动也将更加频繁和自由,人口在城乡间的迁移所付出的成本也会越来越少,因此以下的分析试图把在城乡之间进行迁移活动的成本假设为零,以方便整个动态化的讨论。
首先,假设在城乡经济总量和结构不发生变化的情况下,随着城市化进程的加快,农村地区参与分配经济收入的人口基数也随之减少。假设城市化率在五十年内从40%提高到70%,那么这对农村地区和城市地区的人均收入水平的总体影响就会发生重大的变化。城市化率从40%到70%就意味着在城乡人口分布格局的巨变,农村地区的人口总量减少了50%,从理论意义上讲,也就意味着农村地区人均收入水平将会提高一倍,达到原城市居民人均收入的4/5。而城市则增加了 75%的人口,同样地也就意味着人均收入水平将下降到原来的4/7(<4/5),这样也就出现了农村地区的人均收入水平高于城市地区的人均收入水平的逆效果。当然,这种现象在现实社会中是极为罕见的,因为在整个均衡过程中,不仅仅只有城市化这样一个动态的人口概念,同时还存在一个社会经济整体的动态发展概念。
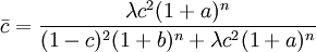
再假设在上述五十年内,城市的年均经济增长速度为a,农村的年均经济增长速度为b,那么,城乡之间在五十年间经济力量对比也将会发生相应的变化,如果原来的城市与农村经济在总量上是3:1,那么五十年后,就应该是3(1 + a)50 / (1 + b)50。在此基础上,我们再假设当前城市化率为c,均衡城市化率为c,当前城乡之间收入差异系数为λ(城市居民人均收入/农村居民人均收入),n为实现均衡的预期年限,以城乡均衡人均收入为原则,则可以得到以下模型:
(1)
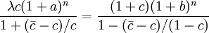
经过简化整理,得到均衡城市化率:
(2)
均衡城市化率是对城乡经济一体化实现过程的量化反映,是城乡经济互动并趋于均衡过程的一个基本度量值。它对于城乡经济互动而言是一个非常重要的因素,但需要指出的是,它并不是唯一的衡量因素。社会经济的发展要坚持人本原则和市场导向,推进城市化不能贪多求大,关键还是在于建立科学的城市化发展动力机制。
免责声明:本内容来源于第三方作者授权、网友推荐或互联网整理,旨在为广大用户提供学习与参考之用。所有文本和图片版权归原创网站或作者本人所有,其观点并不代表本站立场。如有任何版权侵犯或转载不当之情况,请您通过400-62-96871或关注我们的公众号与我们取得联系,我们将尽快进行相关处理与修改。感谢您的理解与支持!







请先 登录后发表评论 ~