需求交叉弹性
需求交叉弹性(Cross-Price Elasticity of Demand)
什么是需求交叉弹性
需求交叉弹性是需求交叉价格弹性的简称,需求的交叉弹性是指某种其他物品的价格每变化1%,会使该物品的需求量变化百分之几,由这个概念我们可以推导出替代品、互补品这两个经济学中的重要概念。
需求交叉弹性反映了相应于其他商品价格的变动,消费者对某种商品需求量变动的敏感程度,其弹性系数定义为需求量变动的百分比除以另外商品价格变动的百分比。交叉弹性系数可以大于0、等于0或小于0,它表明两种商品之间分别呈替代、不相关或互补关系。
需求交叉弹性的计算公式[1]
当两种商品之间存在着替代或互补关系时,一种商品的价格变动会对另一种商品需求量产生交叉影响,我们把一种商品的需求量对于另一种商品价格变化的反应程度叫做需求的交叉弹性,即通常把一种商品需求量变动的百分比除以另一种商品价格变动的百分比叫做需求的交叉弹性。
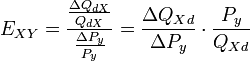
(一)、定义式:
其中:
- EXY表示需求的交叉价格弹性
- QdX表示X商品的需求量
- ΔQXd表示X商品的需求量的变动量
- PY表示Y商品的价格
- ΔPY表示Y商品价格的变动量
(二)、弧弹性和点弹性计算公式:
- 弧弹性计算公式(中点法)
;
- 点弹性计算公式
。
需求交叉弹性的种类[1]
1、EXYφ0:表示X商品的需求量与Y商品的价格为正,则X与Y为替代商品
2、EXYπ0:表示X商品的需求量与Y商品的价格为负,则X与Y为互补商品
需求交叉弹性的作用
第一,根据需求交叉弹性值域分析,我们可以判定 Exy >0的商品是互相替代商品,Exy的值越大,商品之间的替代性越强,Exy值越小,商品之间替代性越弱。Exy<o的商品是互补商品,|Exy|越大,商品的互补性越强,|Exy|越小,商品的互补性越差。Exy=0的商品之间既不是替代品,也不是互补品,二者之间无交叉关系。
第二,我们可以把|Exy|较大的若干种商品集中在一起组成一种工业或形成一种商店来进行生产和经营,常常会收到较高的经济效益。
第三,掌握了需求交叉弹性的理论和方法,有利于企业制定自身产品的价格策略。特别是对于某些大型企业,往往拥有多条生产线,同时生产相互替代或相互补充的产品,用需求的交叉弹性分析各种产品之间的风险问题,从整体目标出发,统筹规划,协调好交叉产品的营销策略是十分必要的。例如,柯达及时放弃了傻瓜相机的专利和技术的损失,总收益却从柯达胶卷的空前旺销、稳销中得到朴偿,为公司求得了长期稳定的盈利。
第四,企业可以利用需求的交叉弹性测定各部门之间的产品交叉关系,制定正确的产品竞争策略。例如,70年代末期,汽车业竞争加剧,美国的“通用”和日本的“丰田”在生产经济车方面竞争十分激烈。以生产小型、廉价、高技术的绅宝——“经济车”的小公司,也面临抉择,要么改为生产汽车配件,要么继续生产“经济车”,要么争取生产“昂贵车”。绅宝公司通过对“昂贵车”的市场调查,分析预测出“昂贵车”的需求价格弹性以及相对于各种“经济车”的需求交叉弹性,1979年推出全新的SAAB9O00型蜗轮增压“昂贵车”,在与美国“通用”和日本“丰田”等“经济车”檄烈的市场竞争中取得胜利,1983年的销售增长率达42%,成为所有汽车行业中销售增长率最高的一家。小公司以少量的财力、生产能力却在激烈的市场竞争中脱颖而出,其原因之一就是受益于需求的交叉弹性理论和方法。
第五,在激烈的市场竞争中,需求的交叉弹性信息可以为企业的价格竞争策略提供依据。比如“长虹”厂商在考虑降价策略时,一定需要估测到它的替代产品诸如“TCL”、“海信”、“康佳”等厂商可能产生的反响,并进一步分析预测对手的反应如何对自己销售所产生的影响,从而判断自己降价策略是否可行。“饮水机”制造业很想知道“纯净水”的降价对“饮水机”的需求量有多大的促进作用,从而考虑对“纯净水”生产厂家是否应给予一定的支持。
参考文献
相关条目
- 价格弹性
- 供给的价格弹性
- 需求的价格弹性
- 交叉价格弹性
- 预期价格弹性
- 供给交叉价格弹性
- 供给的价格弧弹性
免责声明:本内容来源于第三方作者授权、网友推荐或互联网整理,旨在为广大用户提供学习与参考之用。所有文本和图片版权归原创网站或作者本人所有,其观点并不代表本站立场。如有任何版权侵犯或转载不当之情况,请您通过400-62-96871或关注我们的公众号与我们取得联系,我们将尽快进行相关处理与修改。感谢您的理解与支持!







请先 登录后发表评论 ~