技术经济效果
订阅
技术经济效果是指人们在从事某项技术实践活动时,取得的劳动成果与劳动耗费的比较,或者是产出与投入的比较。经济效益是指人们进行经济活动的效率、效果和收益。技术包括硬技术和软技术。任何技术的实施都可取得经济效果,即技术经济效果。1.按收益对象不同划分可分成:
什么是技术经济效果[1]
技术经济效果是指人们在从事某项技术实践活动时,取得的劳动成果与劳动耗费的比较,或者是产出与投入的比较。经济效益是指人们进行经济活动的效率、效果和收益。技术包括硬技术和软技术。任何技术的实施都可取得经济效果,即技术经济效果。
技术经济效果的分类[1]
1.按收益对象不同划分可分成:
企业经济效果和国民经济效果,或者微观经济效益和宏观经济效益。
2.按技术方案的采用是给企业还是给社会带来效果可分成:
直接经济效果和间接经济效果。
3.按经济效果是否可以用货币计量可分成:
有形经济效果和无形经济效果。
技术经济效果的表示方法[2]
(一)比率法
|
|
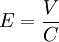
用符号表示为:
注意问题:
1.量纲问题:V、C可以是实物形式、也可以是价值形式。
2.评价标准:
多方案:
;单一方案:E达到标准要求可行。
3.提高经济效果的途径:
(1)




请先 登录后发表评论 ~