投资乘数
投资乘数(Investment multiplier)
什么是投资乘数
投资乘数是指投资量变化数与国民收入变化数的比率,它表明投资的变动将会引起国民收入若干倍的变动。
投资之所以具有乘数作用,是因为各经济部门是相互关联的。某一部门的一笔投资不仅会增加本部门的收入,而且会在国民经济各部门引起连锁反应,从而增加其他部门的投资与收入,最终使国民收入成倍增长。 假设投资引起的消费增量全部用于下一步消费,上一步的消费增量等于这一步的收入增量,之后不断循环,所以会使得国民收入成倍增长。
投资乘数的条件
发挥投资乘数作用有三个前提条件:
1. 在消费函数或储蓄函数为即定的条件下,一定的投资可以引起收入的某种程度的增加,即投资的乘数作用可以相当顺利地发挥出来。
2. 要有一定数量的劳动力可以被利用。
3. 要有一定数量的存货可以被利用。
投资乘数的计算
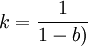
投资乘数=1/(1-边际消费倾向)
公式表示为
或
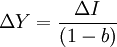
其中b为边际消费倾向,ΔY为收入改变量,ΔI为投资支出改变量。
例如:投资增加100元,边际消费倾向是0.8,则投资的增加使得国民收入的增加量为:
(元)
投资乘数为
即增加1单位的投资支出可增加5单位的国民收入。
相关条目
- 税收乘数
免责声明:本内容来源于第三方作者授权、网友推荐或互联网整理,旨在为广大用户提供学习与参考之用。所有文本和图片版权归原创网站或作者本人所有,其观点并不代表本站立场。如有任何版权侵犯或转载不当之情况,请您通过400-62-96871或关注我们的公众号与我们取得联系,我们将尽快进行相关处理与修改。感谢您的理解与支持!







请先 登录后发表评论 ~