预测波动率
什么是预测波动率
预测波动率又称为预期波动率,它是指运用统计推断方法对实际波动率进行预测得到的结果,并将其用于期权定价模型,确定出期权的理论价值。因此,预测波动率是人们对期权进行理论定价时实际使用的波动率。这就是说,在讨论期权定价问题时所用的波动率一般均是指预测波动率。需要说明的是,预测波动率并不等于历史波动率,因为前者是人们对实际波动率的理解和认识,当然,历史波动率往往是这种理论和认识的基础。除此之外,人们对实际波动率的预测还可能来自经验判断等其他方面。
预测波动率的度量方法
(一)移动平均法
移动平均法是指以过去N天的收益率的方差作为当日波动率的估计值,分为简单移动平均和加权移动平均两种方法。简单移动平均法将每天的收益率看成是等权重的,加权移动平均法则对不同时点赋予不同的权重。
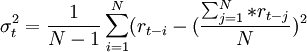
简单移动平均法:
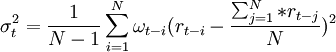
加权移动平均法:
其中,rt − i为t-i时刻的收益率,ωt − i为t-i时刻的权重。
(二)指数平滑法
其中,λ为衰退因子,即平滑系数,0<λ<1。
将指数平滑公式通过递推推导,可以得到t时刻的波动率σ与收益率r之间的关系式。运用此方法,需要确定参数λ。
(三)GARCH模型法
借助Garch模型,可以估计和预测波动率。
Bollerslev于1986年对自回归条件异方差模型(ARCH)进行了推广,提出了广义自回归条件异方差模型(GARCH)。标准的Garch(q,p)模型为:
yt = XtΥ + μ
其中,p是GARCH项的次数,q是ARCH项的次数,σ是条件方差。
此外,还有随机波动模型(SV)以及其扩展模型、自回归移动平均模型(ARIMA/ARFIMA)等,用于对金融资产波动率的估计。另外,也可以通过模型预计隐含波动率。
免责声明:本内容来源于第三方作者授权、网友推荐或互联网整理,旨在为广大用户提供学习与参考之用。所有文本和图片版权归原创网站或作者本人所有,其观点并不代表本站立场。如有任何版权侵犯或转载不当之情况,请您通过400-62-96871或关注我们的公众号与我们取得联系,我们将尽快进行相关处理与修改。感谢您的理解与支持!







请先 登录后发表评论 ~