长期债券成本
什么是长期债券成本[1]
长期债券成本是指企业筹集资金按法定程序发行长期债券所承担的债券利息和支付给发行机构的注册费、代办费等各种费用。
长期债券成本的测定
长期债券成本主要是债券利息和筹资费用。债券利息也在所得税前支付,其处理与长期借款的利息处理相同,但债券的筹资费用一般较高,应予以考虑。债券的筹资费即发行费,主要包括申请发行债券的手续费、债券注册费、印刷费、上市费及推销费用等。
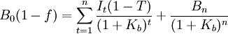
债券的发行价格有平价、溢价、折价三种价格。债券利息按面值和票面利率确定,但债券的筹资额应按具体发行价格计算,以便正确计算债券的成本。债券成本的计算公式为:
式中:B0为债券发行额;Bn为债券到期偿还的本金;It为第t年年末支付的债券利息;Kb为以折现率的方式表示的债券的资本成本;T为所得税税率;f为筹资费率。
长期债券成本率的计算[2]
|
长期债券成本率= | 按借款总额计算的年利息额 X (1-所得税税率) |
X 100% |
| 借款总额 X (1-筹资费用率) |
参考文献
免责声明:本内容来源于第三方作者授权、网友推荐或互联网整理,旨在为广大用户提供学习与参考之用。所有文本和图片版权归原创网站或作者本人所有,其观点并不代表本站立场。如有任何版权侵犯或转载不当之情况,请您通过400-62-96871或关注我们的公众号与我们取得联系,我们将尽快进行相关处理与修改。感谢您的理解与支持!







请先 登录后发表评论 ~