国债收益率
什么是国债收益率
国债收益率是指国债投资每年所获得的收益占资本金的比率,它是投资者进行国债投资的重要依据。
国债收益率与国债利率不同。利率仅指国债年利息收入与国债面值的比率,但国债收益不仅仅指利息收入,它还包括国债买卖的盈亏和国债利息再投入所得到的收益。因此国债收益率是全面衡量国债投资回报大小的指标。
国债的收益率指标
当国债的价值或价格已知时,就可以根据国债的剩余期限和付息情况来计算国债的收益率指标,从而指导投资决策。对于投资者而言,比较重要的收益率指标有以下几种:
直接收益率
直接收益率的计算非常直接,用年利息除以国债的市场价格即可,即i=
到期收益率
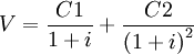
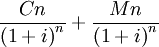
到期收益率是指能使国债未来的现金流量的现值总和等于目前市场价格的收益率。到期收益率是最重要的收益率指标之一。计算国债的到期收益率有以下几个重要假设: (1)持有国债直至到期日;(2)利息所得用于再投资且投资收益率等于到期收益率。
到期收益率的计算公式为:
+...+
到期收益率的计算较复杂,可利用计算机软件或载有在不同价格、利率、偿还期下的到期收益率的债券表求得。在缺乏上述工具的情况下,只能用内插法求出到期收益率。
持有期收益率
投资者通常更关心在一定时期内持有国债的收益率,即持有期收益率。
持有期收益率的计算公式为:
其中,P1为投资者买入国债的价格,P2为投资者卖出国债的价格,I为持有期内投资者获得的利息收益。
例如:投资者于2000年5月22日以154.25元的价格买入696国债(000696),持有一年至2001年5月22日以148.65元的价格卖出,持有期间该国债付息一次(11.83元),则该国债的持有期收益率为:
免责声明:本内容来源于第三方作者授权、网友推荐或互联网整理,旨在为广大用户提供学习与参考之用。所有文本和图片版权归原创网站或作者本人所有,其观点并不代表本站立场。如有任何版权侵犯或转载不当之情况,请您通过400-62-96871或关注我们的公众号与我们取得联系,我们将尽快进行相关处理与修改。感谢您的理解与支持!







请先 登录后发表评论 ~