系列债券
系列债券 (series bond,serial bond)
什么是系列债券[1]
系列债券又称分期赎回债券,是指借款人需要大量资金,可以发行一系列具有不同赎回日的债券。
系列债券的计算公式[1]
系列债券的计算用Makeham公式最有效。引用Makeham公式:
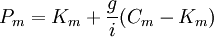
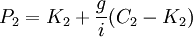
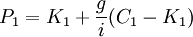
设系列债券在m个不同的赎回日赎回,对应于第一个赎回日的债券价格、赎回值以及赎回值的现值分别记为P1,C1,K1,对应于第二个赎回日的以上各值分别记为P2,C2,K2,依次类推,那么
...
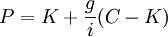
求和可得:
其中,
P'为系列债券的价格,C'为赎回值的和,如果系列债券在规定的时间内很规则地赎回,那么K'的形式也很简单。在一些特殊情形下,K'具有年金的形式。
例1 设系列债券包含10个赎回日,对应于每个赎回日的债券的票面值为100元,赎回值为105元,系列债券在第11年末到第20年末分10次分期赎回。已知息票率为5.25%,收益率为7%,求系列债券的价格。
解:由假设条件,F=100,C=105,r=5.25%,从而
另外,i=0.07,C'=1050,
K' = 105(V11 + V12 + ... + V20)
= 105(10.5940 − 7.0236) = 374.892(元)
于是,
(元)
参考文献
免责声明:本内容来源于第三方作者授权、网友推荐或互联网整理,旨在为广大用户提供学习与参考之用。所有文本和图片版权归原创网站或作者本人所有,其观点并不代表本站立场。如有任何版权侵犯或转载不当之情况,请您通过400-62-96871或关注我们的公众号与我们取得联系,我们将尽快进行相关处理与修改。感谢您的理解与支持!







请先 登录后发表评论 ~