债券持有期收益率
什么是债券持有期收益率
持有期收益率是指从购入到卖出这段特有期限里所能得到的收益率。持有期收益率和到期收益率的差别在于将来值的不同。
债券持有期收益率是指债券持有人在持有期间获得的收益率,能综合反映债券持有期间的利息收入情况和资本损益水平。
其中,债券的持有期是指从购入债券至售出债券或者债券到期清偿之间的期间,通常以“年”为单位表示(持有期的实际天数除以360)。根据债券持有期长短和计息方式不同,债券持有期收益率的计算公式存在差异。债券持有期收益率可以根据具体情况换算为年均收益率。
债券持有期收益率的计算
1、持有时间较短(不超过1年)的,直接按债券持有期间的收益额除以买入价计算持有期收益率:
|
持有期收益率= | 债券持有期间的利息收入+(债券卖出价-债券买入价) |
×100% |
| 债券买入价 |
|
持有期年均收益率= | 持有期收益率 | |
| 债券持有年限 |
|
持有年限= | 债券实际持有天数 | |
| 360 |
2、持有时间较长(超过1年)的,应按每年复利一次计算持有期年均收益率(即计算使债券投资产生的现金流量净现值为零的折现率)
1)到期一次还本付息债券:
债券持有期年均收益率=
式中,P为债券买入价,M为债券到期兑付的金额或者提前出售时的卖出价;t为债券实际持有期限(年),等天债券买入交割日至到期兑付日或卖出交割日之间的实际天数除以360。
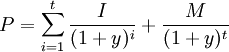
2)每年年末支付利息的债券:
式中,P为债券买入价;y为债券持有期年均收益率;I为持有期间每期收到的利息额;M为债券兑付的金额或者提闪出售的卖出价;t为债券实际持有期限(年)。
相关条目
- 股票持有期收益率
免责声明:本内容来源于第三方作者授权、网友推荐或互联网整理,旨在为广大用户提供学习与参考之用。所有文本和图片版权归原创网站或作者本人所有,其观点并不代表本站立场。如有任何版权侵犯或转载不当之情况,请您通过400-62-96871或关注我们的公众号与我们取得联系,我们将尽快进行相关处理与修改。感谢您的理解与支持!







请先 登录后发表评论 ~