债券估价
债券估价(Bond Valuation)
债券估价的基本原理
债券作为一种投资,现金流出是其购买价格,现金流入是利息和归还的本金,或者出售时得到的现金。
债券的价值或债券的内在价值是指债券未来现金流入量的现值,即债券各期利息收入的现值加上债券到期偿还本金的现值之和。只有债券的内在价值大于购买价格时,才值得购买。
债券估价的基本方法
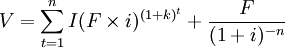
- 1、一般情况下的债券估价模型
典型的债券是固定利率、每年计算并支付利息、到期归还本金。在此情况下,按复利方式计算的
债券价值的基本模型是:
或 =
式中:V——债券价值;
i——债券的票面利率;
F——到期的本金;
k——贴现率,一般采用当时的市场利率或投资人要求的最低报酬率;
n——债券到期前的年数。
【例1 】某公司拟2002年2月1日购买一张面额为1000元的债券,其票面利率为8%,每年2月
1日计算并支付一次利息,并于5年后的1月31日到期。当时的市场利率为10%,债券的市价是920元,应否购买该债券?
=80 ×(P/A,10%,5)+1000 ×(P/S,10%,5)
=80 × 3.791+ 1000×0.621
=303.28+621
=924.28元>920元
由于债券的价值大于市价,如不考虑风险问题,购买此债券是合算的。它可获得大于10%的收益。
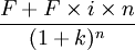
- 2、一次还本付息且不计算复利的债券估价模型
我国很多债券属于一次还本付息且不计算复利的债券,其估价计算公式为:
V=
=( F+F×i×n)×(P/S,k,n)
【例2】某企业拟购买另一家企业发行的利随本清的企业债券,该债券面值为1000元,期限为5年,票面利率为10%,不计复利,当前市场利率为8%,该债券的价格为多少时,企业才能购买?
由上述公式可知:
元
即债券价格必须低于1020元时,企业才能购买。
- 3、折价发行时债券的估价模型
有些债券以折价方式发行,没有票面利率,到期按面值偿还。其估价模型为:
= F×(P/S,k,n)
公式中的符号含义同前式。
【例3】某债券面值为1000,期限为5年,以折现方式发行,期内不计利息,到期按面值偿还,当时市场利率为8%,其价格为多少时,企业才能购买?
由上述公式可知:
V=1000×(P/S,8%,5)=1000×0.681=681元
即债券价格必须低于681元时,企业才能购买。
免责声明:本内容来源于第三方作者授权、网友推荐或互联网整理,旨在为广大用户提供学习与参考之用。所有文本和图片版权归原创网站或作者本人所有,其观点并不代表本站立场。如有任何版权侵犯或转载不当之情况,请您通过400-62-96871或关注我们的公众号与我们取得联系,我们将尽快进行相关处理与修改。感谢您的理解与支持!







请先 登录后发表评论 ~