债券现值
债券现值(valor actual)
什么是债券现值[1]
债券现值是指债券的即时价值。新发行债券的现值等于债券的发行价格。债券在转手时,其现值在发行价与到期本利和之间。
债券现值的构成[2]
公司发行债券既要到期还本,还要定期按票面利率支付利息,因此,债券的现值包括如下两部分:
1.到期偿还的本金所折算的现值,为了使债券的现值公平合理,保证发行和债券持有人双方的利益,折算时应以市场利率为准。折算公式为:
债券本金(面值)的现值=债券本金×(1+市场利率)期数
2.各期支付的利息所折算的现值。一般来说,发行公司各期支付的债券利息是等额的,每期利息可以依次按市场利率折算为现值,其总和即为年金现值。折算公式为:
债券利息的现值=债券本金(面值)×票面利率×年金现值系数
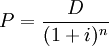
债券现值的计算[1]

债券现值的波动性[3]
债券现值的波动性是指债券价值受要求利率(资金机会成本)变动的影响,当要求利率上涨或下跌的百分比相同时,债券现值上涨的幅度要大于下跌的幅度。
相关条目
- 债券终值
参考文献
免责声明:本内容来源于第三方作者授权、网友推荐或互联网整理,旨在为广大用户提供学习与参考之用。所有文本和图片版权归原创网站或作者本人所有,其观点并不代表本站立场。如有任何版权侵犯或转载不当之情况,请您通过400-62-96871或关注我们的公众号与我们取得联系,我们将尽快进行相关处理与修改。感谢您的理解与支持!







请先 登录后发表评论 ~