债券到期收益率计算器
什么是债券到期收益率计算器[1]
债券到期收益率计算器是指可以帮您计算在二级市场上买入已经发行的债券并持有到期满为止的这个期限内的年平均收益率。
到期收益率是指投资者在二级市场上买入已经发行的债券并持有到期满为止的这个期限内的年平均收益率。
- 本条目主要结合对中国银行官网的债券到期收益率计算器,进行理论解析和案例阐释,准确把握各种债券的具体特点。希望有助于大家举一反三。理论联系实际,存在这样的计算器,说明这类债券是较常见到的。
关键词
固定利率债券
较常见的固定利率债券有:
- 附息债券:这是一种长期债券,期限一般在5年以上。这种债券的特点是,债券发行人每年或每半年按票面利率支付持券人利息,到期时归还持券人本金。
- 息票债券(coupon bond)息票债券是指在债券的券面上印有“息票”,作为按期(一般为一年)支付利息的凭据的债券。债券持有人在债券到期期限内,可以定期凭债券上所附息票,向发行机构支取债券利息。之所以称之为息票债券,是因为过去债券持有人通常从债券上撕下所附的息票,送交债券发行人,后者见票后向持有人支付利息。
- 零息债券(Zero-coupon Bond)。这种债券不附息票,不逐年支付利息,到期一次性支付本息。特别注意:零息债券指的是在持有期没有利息,而在到期时一次还本付息。零息债券的期限普遍较长,最多可到20年。我国的一次还本付息债券可视为零息债券。
- 中期债券(Medium-term Notes),该债券期限为1~5年。
- 本息分离债券(Separate Trading Of Registered Interestand Pricipal Securities)。这种债券是根据利率期限理论,将附息债券的本金和利息分离并分别进行证券化而产生的。
固定利率债券是相对于“零息债券”及“一次还本付息债券”而言的债券品种,属于付息债券,定期支付利息,到期按债券面额偿付本金。处于最后付息周期的固定利率债券按单利计算收益率,否则按复利计算。
到期一次还本付息债券
到期一次还本付息债券和零息债券。特别注意:零息债券指的是在持有期没有利息,而在到期时一次还本付息。零息债券的期限普遍较长,最多可到20年。我国的一次还本付息债券可视为零息债券。
- 待偿期在一年及以内的一次还本付息债券及零息债券,按单利计算收益率,否则按复利计算。
零息债券
特别注意:零息债券指的是在持有期没有利息,而在到期时一次还本付息。零息债券的期限普遍较长,最多可到20年。我国的一次还本付息债券可视为零息债券。
- 待偿期在一年及以内的零息债券,按单利计算收益率,否则按复利计算。
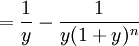
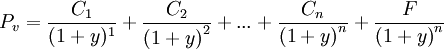
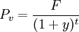
债券到期收益率计算器的原理和应用
- Pv为债券当前市场价格,
- F=债券面值
- C为按票面利率每年支付的利息
- y为到期收益率,到期收益率 (Yield To Maturity,简称YTM),又称“满期收益率”、“到期殖利率”(简称为殖利率)
- n为待偿期,也叫剩余到期年限
- 也可用Excel财务函数里的IRR函数来计算到期收益率y,只是Pv值取负数,是购买支出。
举例说明:[2]
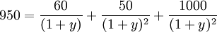
例题:如果票面金额为1000元的两年期债券,第一年支付60元利息,第二年支付50元利息,现在的市场价格为950元,求该债券的到期收益率为多少?
- YTM=y=5.5%
- 以下,按债券到期收益率计算器的界面,根据不同的付息特点和计息方法,从短期到长期,从简单到复杂的顺序举例说明各类债券在不同到期时间下的具体计算及应用。
处于最后付息周期的固定利率债券
处于最后付息周期的固定利率债券按单利计算收益率,否则按复利计算。
如:息票债券到期收益率的计算
|
到期收益率= | (债券年利息+债券面值-债券买入价) |
×100% |
| 债券买入价×剩余到期年限 |
例:某公司2003年1月1日以102元的价格购买了面值为100元、利率为10%、每年1月1日支付1次利息的1999年发行5年期国库券,持有到2004年1月1日到期,则:
到期收益率=
待偿期在一年及以内的到期一次还本付息债券
到期一次还本付息债券和零息债券。特别注意:零息债券指的是在持有期没有利息,而在到期时一次还本付息。零息债券的期限普遍较长,最多可到20年。我国的一次还本付息债券可视为零息债券。
待偿期在一年及以内的一次还本付息债券及零息债券,按单利计算收益率,否则按复利计算。
|
到期收益率= | [债券面值×(1+票面利率×债券有效年限)-债券买入价] |
×100% |
| 债券买入价×剩余到期年限 |
例:甲公司于2004年1月1日以1250元的价格购买了乙公司于2000年1月1日发行的面值为1000元、利率为10%、到期一次还本利息的5年期公司债券,持有到2005年1月1日,计算其投资收益率。
到期收益率=
贴现债券一般都是待偿期在一年及以内的
贴现债券,其到期收益率等于贴现率,无须计算。
|
到期收益率= | (债券面值-债券买入价) |
×100% |
| 债券买入价×剩余到期年限 |
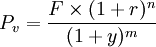
待偿期在一年以上的到期一次还本付息债券
这种债券的付息频率一般为一年一次。
- Pv为一次性还本付息债券的购买价格,
- F为面值,
- r为票面利率
- n为发行日至到期日的期数
- y为贴现率
- m为购入日至到期日的剩余期数(购入日为付息日时,m取整数;购入为非付息日时,m取小数)
应用案例1:若为单利计息,求现值
例:某债券2001年1月1日发行,期限5年,面值1000元,年利率6%,一年计息一次,按单利计息,一次性还本付息。一投资者希望以年5%的收益率于2004年1月1日购买此债券,问他能接受的价格是多少?
分析:解:已知 F=1000 r=6% n=5 y=5% m=2 则
(元)
若2004年1月1日该债券的实际市场价格低于1179.14元,他可以购买此债券。
应用案例2:若为复利计息,求现值
上例中,若按复利计息,情况又将怎样?
解:利用复利下的计算公式,则投资者愿意接受的价格为
(元)
待偿期在一年以上的零息债券
待偿期在一年及以内的零息债券,按单利计算收益率,否则待偿期在一年以上的零息债券,按复利计算。
- y = 折让率(收益率或孳息)
- t = 距离到期的时间
不处于最后付息周期的固定利率债券
较常见的固定利率债券有:
- 附息债券、息票债券:这是一种长期债券,期限一般在5年以上。这种债券的特点是,债券发行人每年或每半年按票面利率支付持券人利息,到期时归还持券人本金。特别注意:零息债券指的是在持有期没有利息,而在到期时一次还本付息。零息债券的期限普遍较长,最多可到20年。我国的一次还本付息债券可视为零息债券。
- 零息债券(Zero-coupon Bond)。这种债券不附息票,不逐年支付利息,到期一次性支付本息。
- 中期债券(Medium-term Notes),该债券期限为1~5年。
- 本息分离债券(Separate Trading Of Registered Interestand Pricipal Securities)。这种债券是根据利率期限理论,将附息债券的本金和利息分离并分别进行证券化而产生的。
- 界面如下,有个特点是多个项目:债券利息支付频率(次/年),一般有2次,4次。
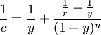
- Pv=息票债券价格
- C=年利息支付额,每年支付的利息都一样
- F=债券面值
- y为到期收益率
- n=距到期日的年数
- 也可以用Excel的RATE函数计算。在Excel任一单元格中输入函数和数值:=RATE(n, C, -Pv, F),+Enter,可得到期收益率y
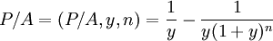
Pv=C×(P/A,y,n)+F×(P/F,y,n) P/A参见年金现值系数,P/F参见复利现值系数。
应用案例1:求到期收益率
如:息票债券到期收益率的计算
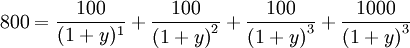
另外一种计算器的实例: 某债券息票率为10%,面值为1000美元,当前价格为800美元,离到期还有3年,每年付息1次。那么,该债券的到期收益率为多少?[3]
解析:
(1)用公式表示:
(2)用计算器计算:
计算器以100美元为面值,对于1 000美元面值的债券,要在设定到期回收价值时输入100, 设定债券价格时输入80。
因此,该债券的到期收益率为19.41%,或者通过Excel函数计算。=RATE(3,-100,800,-1000,0) 或者 =YIELD(DATE(2021,10,1),DATE(2024,10,1),0.1,80,100,1) 注意前两个参数的值可随意设置,但两者的间隔必须为实际中的年份(本题为3年)。
应用案例2:求债券的剩余期限
如:River公司有一支利息率为8%的债券,每年付息一次,YTM7.2%。当期收益率为7.55%。这支债券还剩下多少年到期?
解:当期收益率=债券的年息/债券当前的市场价格Pv(Present value)
7.55%=面值F×8%/Pv,
Pv=8F/7.55
- Pv=息票债券价格=8F/7.55
- C=年利息支付额,每年支付的利息都一样=0.08F
- F=债券面值
- y为到期收益率=YTM=7.2%=0.072
- &n=距到期日的年数,也叫剩余到期年限
代入
- ∵年金现值系数公式(P/A,y,n)
- (P/A,0.072,n)
∴8/7.55=8/7.2+(1-8/7.2)/1.072^n
1.072^n=(1-8/7.2)/(8/7.55-8/7.2)=2.1571428571
n=ln(2.1571428571)/ln(1.072)=11.05750225829=11年
也可用Excel财务函数里的NPER函数计算=nper(7.2%,8%,-8/7.55,1,0)=11.05750226年。
应用案例3:分析当期收益率、息票利率与到期收益率的关系
- r=票面利率(Coupon rate),C=r×F
- c=当期收益率(Current yield),c=r×F/Pv
- Pv=r×F/c
代入主公式或代入公式Pv=C×(P/A,y,n)+F×(P/F,y,n) 都是一样的,F可消掉
- r/c=r×(P/A,y,n)+(P/F,y,n)
- r/c=r×{1/y-1/y×(1+y)^n}+1/(1+y)^n
- r/c=r/y+(1-r/y)/(1+y)^n
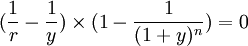
- 1/c=1/y+(1/r-1/y)/(1+y)^n
- ★当期收益率与到期收益率的关系
1、如果息票债券的市场价格Pv越接近债券面值F(等价于r接近c),期限n越长,(1/r-1/y)/(1+y)^n取值越小,则其当期收益率c就越接近到期收益率y(或1/y)。
2、如果息票债券的市场价格Pv越偏离债券面值F(等价于r偏离c),期限n越短,则当期收益率c就越偏离到期收益率y。
但是不论当期收益率与到期收益率近似程度如何,当期收益率的变动总是预示着到期收益率的同向变动。
- ★息票利率与到期收益率的关系
对于一年支付一次利息的息票债券,我们有下面的结论成立:
1、如果息票债券的市场价格=面值(r=c),即平价发行,则其到期收益率y等于息票利率r。
∵
2、如果息票债券的市场价格<面值(r<c),即折价发行,则其到期收益率y高于息票利率r。
∵
∵
3、如果息票债券的市场价格>面值(r>c),即溢价发行,则其到期收益率y低于息票利率t。
参考文献
- 债券到期收益率
- 当期收益率
- 期间收益率
- 到期收益率
- 息票债券
- ↑ 债券到期收益率计算器.中国银行.2008.11.17.
- ↑ 马骥.证券投资学=Securities Investment[M].科学出版社,2008.06.
- ↑ 中国金融教育发展基金会金融理财标准委员会组织编写.第十八章 债券市场与债券投资 金融理财原理(下册).中信出版社,2007年02月第1版.
免责声明:本内容来源于第三方作者授权、网友推荐或互联网整理,旨在为广大用户提供学习与参考之用。所有文本和图片版权归原创网站或作者本人所有,其观点并不代表本站立场。如有任何版权侵犯或转载不当之情况,请您通过400-62-96871或关注我们的公众号与我们取得联系,我们将尽快进行相关处理与修改。感谢您的理解与支持!







请先 登录后发表评论 ~