CES生产函数
CES生产函数(Constant Elasticity of Substitution)
什么是CES生产函数[1]
CES生产函数是指替代弹性为常数的,CES生产函数首先由Solow提出的,经过实证检定,逐渐被应用。
CES生产函数的公式[2]
CES生产函数为常替代弹性生产函数
Y = A(δ1k − ρ + δ2L − ρ)1 / ρ (1)
的简称, 这是因为式(1)所表示的生产函数的替代弹性
σ = 1 / (1 + ρ)为常数。
在经济理论中,生产函数Y=F(K,L)应满足:对任意的K、L有,Y(0,L)=Y(K,0)=0。
有些生产函数例如C-D函数
Y = AKαLβ,则由其函数表达式自然满足Y(0,L)=Y(K,0)=0,即为默认。
在研究CES生产函数时, 必须同时准确地给出其使用条件:
其中K>O 且L>0。
CES生产函数的性质[2]
由以上讨论,我们首先给出CES生产函数(l)的定义域为
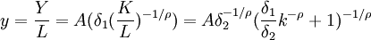
对于固定的L>0,由(1)式可得人均产出函数
记为y=f(k) (2)
这里k=K/L表示人均资本(或称劳动装备)。
对(2)求导,得
(3)
显然,当k>0且L>O时,有
性质1,人均CES生产函数(2)在其定义域
内,恒有
f(k)>0
再对(3)式求导,得
(4)
由此又有
性质2,人均CES生产函数(2)在其定义域
内,恒有
f(k)<0
由性质1、性质2知,人均CES生产函数(2)为凹函数。
性质1的经济意义为:边际产出大于零,即资本k每增加一个单位,则产出y增加
个单位
性质2说明人均CES生产函数从经济上来说是规模递减的,即随资本k的增加,边际产出递增的速度下降。
CES生产函数的运用[2]
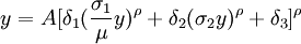
假设考虑三种生产要素的CES函数,即固定资本品K1、中间消耗品K2和劳动力L,并假设劳动力L在考察期内不变,即具有以下的生产函数形式:
(5)
在封闭的经济中第t+1年固定资本品投人来源于第t年的剩余和第t年产出的再投入部分,比例为σ1,第t+1年中间消耗来源于第t年产出的投人,比例为σ2,第t年消费均来自当年的产出扣除下一年的再投人部分。
假设折旧率为μ,整个社会的消费记为C(t),人均消费记为c(t),如上两边同除L,人均化后即有:
(6)
且有如下关系:
k1(t + 1) = k1(t) − μk1(t) + σ1y(t)
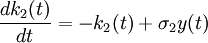
k2(t + 1) = σ2y(t) (7)
c(t) = (1 − σ1 − σ2)y(t)
取考察期内的人均消费的效用达到最大化,我们建立的模型如下:
k1(t + 1) = k1(t) − μk1(t) + σ1y(t) (8)
c(t) = (1 − σ1 − σ2)y(t),0 < δi < 1,i = 1,2;0 < μ < 1
把状态方程(7)连续化得到:
(9)
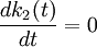
对系统(9),均衡时由
,
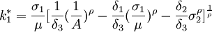
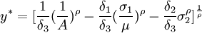
解得惟一的正均衡点
满足:
,
(10)
把它们带人生产函数的表达式中得到:
可解得在均衡点处有:
(11)
再把它带人式(10)中就有:
我们可以得到在均衡点的导系数矩阵为
容易得到其特征方程为:
根据根与系数的关系, 我们很容易得到:
(1)若ρ2 >4q>0,且ρ>0,则λ1,λ2>0,即下列条件成立:
μ − δ1μ1 − ρ(Aσ1)ρ − μδ2(Aσ2)ρ > 0
δ1μ1 − ρ(Aσ1)ρ + δ2(Aσ2)ρ − (μ + 1) > 0
上述两式相加可得到
。此时系统均衡点是不稳定结。
而当ρ < 0,则λ1,λ2<0,亦即下列条件成立:
2μ + 1 > 2δ1μ1 − ρ(Aσ1)ρ + (1 + μ)δ2(Aσ2)ρ
此时系统均衡点是稳定结点。
(2)若ρ2<4q ,当Re(λ) > 0时,系统均衡点是不稳定结点。而当Re(λ) < 0时,系统均衡点是稳定结点。
(3)若ρ < 0,则一个根为正,另一个根为负,即下列条件成立:
1 < δ1μ − ρ(Aσ1)ρ + δ2(Aσ2)ρ
此时均衡点为鞍点。有一枝分界线趋于均衡点E,这就是经济学中所说的:只有惟一的最佳路径稳定地趋于均衡点E。而另一枝分界线则离开均衡点E。其余的轨线均从“最佳路径”饶过均衡点而靠近另一枝分界线。亦即其相图犹如马鞍状。
(4)若ρ = 0,即下列条件成立:μ = δ1μ1 − ρ(Aσ1)ρ − μδ2(Aσ2)ρ,则此时系统均衡点为高阶的,我们不做研究。
参考文献
免责声明:本内容来源于第三方作者授权、网友推荐或互联网整理,旨在为广大用户提供学习与参考之用。所有文本和图片版权归原创网站或作者本人所有,其观点并不代表本站立场。如有任何版权侵犯或转载不当之情况,请您通过400-62-96871或关注我们的公众号与我们取得联系,我们将尽快进行相关处理与修改。感谢您的理解与支持!







请先 登录后发表评论 ~