等额分付现值系数
什么是等额分付现值系数[1]
等额分付现值系数是指每期投入资金R,利息率为i,求n年末的现值P。只需将一次整付本利和的计算公式代入等额分付本利和的计算公式中,即可求得。
等额分付现值系数的公式[2]
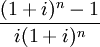
等额分付现值的公式:
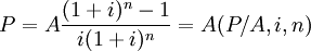
公式表示在利率i的情况下,等额支付值A与现值P之间的等值关系。它适用于已知A、i、n求P的情况。式中
称为等额分付现值系数,用符号(P/A,i,n)表示,其含义是单位年金的现值。其值可查复利系数表。
相关条目
- 等额分付现值
- 等额分付资金回收
参考文献
免责声明:本内容来源于第三方作者授权、网友推荐或互联网整理,旨在为广大用户提供学习与参考之用。所有文本和图片版权归原创网站或作者本人所有,其观点并不代表本站立场。如有任何版权侵犯或转载不当之情况,请您通过400-62-96871或关注我们的公众号与我们取得联系,我们将尽快进行相关处理与修改。感谢您的理解与支持!







请先 登录后发表评论 ~