复相关系数
复相关系数(multiple correlation coefficient; coefficient of total correlation)
什么是复相关系数
复相关系数是反映一个因变量与一组自变量(两个或两个以上)之间相关程度的指标。它是包含所有变量在内的相关系数。复相关系数是度量负相关程度的指标,它可利用单相关系数和偏相关系数求得。复相关系数越大,表明要素或变量之间的线性相关程度越密切。
复相关系数的计算
复相关系数是测量一个变量与其他多个变量之间线性相关程度的指标。它不能直接测算,只能采取一定的方法进行间接测算。
为了测定一个变量y与其他多个变量X1,X2,...,Xk之间的相关系数,可以考虑构造一个关于X1,X2,...,Xk的线性组合,通过计算该线性组合与y之间的简单相关系数作为变量y与X1,X2,...,Xk之间的复相关系数。具体计算过程如下:
第一步,用y对X1,X2,...,Xk作回归,得:
第二步,计算y和
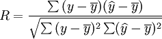
的简单相关系数,此简单相关系数即为y与X1,X2,...,Xk之间的复相关系数。复相关系数的计算公式为:
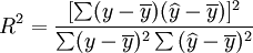
之所以用R表示复相关系数,是因为R的平方恰好就是线性回归方程的决定系数。这种关系的简单推导如下:
在上面的式子中,分子可化为:
从而:
复相关系数与简单相关系数的区别是简单相关系数的取值范围是[-1,1],而复相关系数的取值范围是[0,1]。这是因为,在两个变量的情况下,回归系数有正负之分,所以在研究相关时,也有正相关和负相关之分;但在多个变量时,偏回归系数有两个或两个以上,其符号有正有负,不能按正负来区别,所以复相关系数也就只取正值。
免责声明:本内容来源于第三方作者授权、网友推荐或互联网整理,旨在为广大用户提供学习与参考之用。所有文本和图片版权归原创网站或作者本人所有,其观点并不代表本站立场。如有任何版权侵犯或转载不当之情况,请您通过400-62-96871或关注我们的公众号与我们取得联系,我们将尽快进行相关处理与修改。感谢您的理解与支持!







请先 登录后发表评论 ~